高等学校化学学报 ›› 2015, Vol. 36 ›› Issue (7): 1246.doi: 10.7503/cjcu20141082

• 研究论文: 无机化学 • 上一篇    下一篇

CO2气氛中La掺杂BaCo0.88Nb0.12O3-δ膜的透氧性能及结构稳定性

张星星, 吴成章(), 周建芳, 杨恭辉, 刘银河, 张玉文, 丁伟中   

  1. 上海大学省部共建高品质特殊钢冶金与制备国家重点实验室, 上海 200072
  • 收稿日期:2014-12-08 出版日期:2015-07-10 发布日期:2015-06-12
  • 作者简介:联系人简介: 吴成章, 男, 博士, 副教授, 主要从事能源材料方面的研究. E-mail:wucz@shu.edu.cn
  • 基金资助:
    国家自然科学基金(批准号: 51274139, 51174133)、 上海市教委创新项目(批准号: 13YZ019)及教育部博士学科点专项科研基金(批准号: 20123108120020)资助

Oxygen Permeation Property and Structural Stabiltiy of La-doped BaCo0.88Nb0.12O3-δ Membranes in CO2 Atmosphere

ZHANG Xingxing, WU Chengzhang*(), ZHOU Jianfang, YANG Gonghui, LIU Yinhe, ZHANG Yuwen, DING Weizhong   

  1. State Key Laboratory of Advanced Special Steel, Shanghai University, Shanghai 200072, China
  • Received:2014-12-08 Online:2015-07-10 Published:2015-06-12
  • Contact: WU Chengzhang E-mail:wucz@shu.edu.cn
  • Supported by:
    † Supported by the National Natural Science Foundation of China(Nos.51274139, 51174133), the Innovation Program of Shanghai Municipal Education Commission, China(No.13YZ019) and the Doctoral Fund of Ministry of Education of China(No.20123108120020)

摘要:

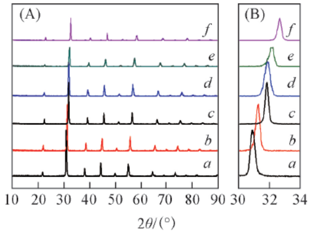
利用固相合成法制备了A位La掺杂BaCo0.88Nb0.12O3-δ[BLCN-x, x为La的掺杂量(摩尔分数)]钙钛矿透氧膜材料, 采用X射线衍射(XRD)、 扫描电子显微镜(SEM)、 热重分析(TG)及程序升温脱附-质谱(TPD-MS)等方法研究了CO2气氛静态处理及动态透氧条件BLCN-x系列材料的结构稳定性. 研究结果表明, 随着La掺杂量的增加, BLCN-x膜片材料抗CO2腐蚀的性能明显提高. 当La含量高于0.5时, 在850 ℃纯CO2气氛静态处理或透氧条件下均未观察到碳酸盐衍射峰. 尽管La掺杂会降低BLCN-x膜片的初始透氧量, 但在CO2气氛吹扫时透氧量的降低速率明显减慢, 其中BLCN-0.5膜片在纯CO2气氛下10 h后的透氧量仍可达到0.46 mL·cm-2·min-1. 通过容差因子和平均金属-氧键能计算可知, 良好的结构稳定性和增强的金属-氧键能是导致La掺杂样品抗CO2腐蚀的主要因素.

关键词: 钙钛矿, 透氧膜, 二氧化碳, 掺杂, 结构稳定性

Abstract:

La-doped BaCo0.88Nb0.12O3-δ(BLCN-x, x represents the molar ratio of La) perovskite membranes were prepared by solid phase reaction. The structrural stability of membranes was analyzed by X-ray diffraction(XRD), scanning electron microscopy(SEM), thermogravimetric(TG) analysis and temperature programmed desorption-mass spectrography(TPD-MS) methods. The results indicated that the CO2 tolerance properties of BLCN-x membranes were improved markedly with the increase of La content. Specially, the diffraction peaks of witherite can’t be observed for the membranes with a La content higher than 0.5, whatever the membranes were calcined or conducted the oxygen permeation measurement with pure CO2 sweeping. The initial oxygen permeation flux of BLCN-x membranes would be reduced with the doping of La, however, the oxygen flux of BLCN-x membranes swept by CO2 was more stable with the increase of La content. Particularly, the oxygen flux of BLCN-0.5 membrane is about 0.46 mL·cm-2·min-1 after pure CO2 sweeping for 10 h. The better structural stability and CO2 tolerance properties of BLCN-x membranes with higher La content are due to more appropriate Goldschmidt tolerance factor and the enhanced average metal-oxygen bond energy.

Key words: Perovskite, Oxygen permeation membrane, CO2, Doping, Structural stability

中图分类号: 

TrendMD: