Chem. J. Chinese Universities ›› 2020, Vol. 41 ›› Issue (4): 616.doi: 10.7503/cjcu20200083
Previous Articles Next Articles
WANG Yuyao1,ZHANG Qiang1,YU Jihong1,2,*(
)
Received:2020-02-19
Online:2020-04-10
Published:2020-03-06
Contact:
Jihong YU
E-mail:jihong@jlu.edu.cn
Supported by:CLC Number:
TrendMD:
WANG Yuyao, ZHANG Qiang, YU Jihong. Synthesis of Hierarchical NaX Zeolite and Its CO2 Adsorption Performance †[J]. Chem. J. Chinese Universities, 2020, 41(4): 616.
| Sample | x | Crystallization | Si/Al molar ratioa | Yieldb | Relative XRD crystallinityc(%) | |||
|---|---|---|---|---|---|---|---|---|
| Temperature/℃ | Time/h | |||||||
| T1 | T2 | t1 | t2 | |||||
| X-L0-60(36 h)/100(12 h) | 0 | 60 | 100 | 36 | 12 | 1.17 | 82 | 70 |
| X-L1.0-60(36 h)/100(12 h) | 1.0 | 60 | 100 | 36 | 12 | 1.16 | 85 | 82 |
| X-L2.0-60(36 h)/100(12 h) | 2.0 | 60 | 100 | 36 | 12 | 1.24 | 89 | 100 |
| X-L0-100(24 h) | 0 | 100 | | 24 | | 1.09 | 58 | 82 |
| X-L1.0-100(24 h) | 1.0 | 100 | | 24 | | 1.14 | 60 | 85 |
| X-L2.0-100(24 h) | 2.0 | 100 | | 24 | | 1.21 | 64 | 97 |
| Sample | x | Crystallization | Si/Al molar ratioa | Yieldb | Relative XRD crystallinityc(%) | |||
|---|---|---|---|---|---|---|---|---|
| Temperature/℃ | Time/h | |||||||
| T1 | T2 | t1 | t2 | |||||
| X-L0-60(36 h)/100(12 h) | 0 | 60 | 100 | 36 | 12 | 1.17 | 82 | 70 |
| X-L1.0-60(36 h)/100(12 h) | 1.0 | 60 | 100 | 36 | 12 | 1.16 | 85 | 82 |
| X-L2.0-60(36 h)/100(12 h) | 2.0 | 60 | 100 | 36 | 12 | 1.24 | 89 | 100 |
| X-L0-100(24 h) | 0 | 100 | | 24 | | 1.09 | 58 | 82 |
| X-L1.0-100(24 h) | 1.0 | 100 | | 24 | | 1.14 | 60 | 85 |
| X-L2.0-100(24 h) | 2.0 | 100 | | 24 | | 1.21 | 64 | 97 |
Fig.1 XRD patterns of NaX samples and simulated one(A) a. Simulated; b. X-L0-60(36 h)/100(12 h); c. X-L1.0-60(36 h)/100(12 h); d. X-L2.0-60(36 h)/100(12 h). (B) a. Simulated; b. X-L0-100(24 h); c. X-L1.0-100(24 h); d. X-L2.0-100(24 h).
Fig.2 SEM images of NaX samples with or without two-step crystallization(A) X-L0-60(36 h)100(12 h); (B) X-L1.0-60(36 h)100(12 h); (C) X-L2.0-60(36 h)100(12 h); (D) X-L0-100(24 h); (E) X-L1.0-100(24 h); (F) X-L2.0-100(24 h).
| Sample | (m2·g-1) | (m2·g-1) | (m2·g-1) | (cm3·g-1) | (cm3·g-1) | (cm3·g-1) |
|---|---|---|---|---|---|---|
| X-L0-60(36 h)/100(12 h) | 679 | 579 | 100 | 0.28 | 0.26 | 0.54 |
| X-L1.0-60(36 h)/100(12 h) | 692 | 593 | 99 | 0.28 | 0.25 | 0.53 |
| X-L2.0-60(36 h)/100(12 h) | 706 | 624 | 82 | 0.30 | 0.20 | 0.50 |
| X-L0-100(24 h) | 652 | 573 | 79 | 0.27 | 0.10 | 0.37 |
| Sample | (m2·g-1) | (m2·g-1) | (m2·g-1) | (cm3·g-1) | (cm3·g-1) | (cm3·g-1) |
|---|---|---|---|---|---|---|
| X-L0-60(36 h)/100(12 h) | 679 | 579 | 100 | 0.28 | 0.26 | 0.54 |
| X-L1.0-60(36 h)/100(12 h) | 692 | 593 | 99 | 0.28 | 0.25 | 0.53 |
| X-L2.0-60(36 h)/100(12 h) | 706 | 624 | 82 | 0.30 | 0.20 | 0.50 |
| X-L0-100(24 h) | 652 | 573 | 79 | 0.27 | 0.10 | 0.37 |
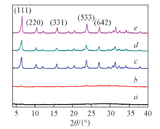
Fig.4 XRD patterns of samples with different crystallization timea. X-L2.0-60(36 h); b. X-L2.0-60(36 h)/100(1 h); c. X-L2.0-60(36 h)/100(2 h); d. X-L2.0-60(36 h)/100(4 h); e. X-L2.0-60(36 h)/100(12 h).
Fig.5 TEM images of crystal evolution under 100 ℃ for samples X-L2.0-60(36 h)/100(1 h)(A), X-L2.0-60(36 h)/100(2 h)(B) and X-L2.0-60(36 h)/100(12 h)(C)
| Sample | Adsorption quantitity | |
|---|---|---|
| 273 K | 298 K | |
| X-L1.0-60(36 h)/100(12 h) | 154.2 | 140.6 |
| X-L2.0-60(36 h)/100(12 h) | 151.9 | 142.4 |
| X-L0-100(24 h) | 147.6 | 129.2 |
| Sample | Adsorption quantitity | |
|---|---|---|
| 273 K | 298 K | |
| X-L1.0-60(36 h)/100(12 h) | 154.2 | 140.6 |
| X-L2.0-60(36 h)/100(12 h) | 151.9 | 142.4 |
| X-L0-100(24 h) | 147.6 | 129.2 |
| [1] | Patel H. A., Byun J., Yavuz C. T ., ChemSusChem, 2017, 10( 7), 1303— 1317 |
| [2] | Wang W., Zhou M., Yuan D., J. Mater. Chem. A, 2017, 5( 4), 1334— 1347 |
| [3] | Bae Y. S., Snurr R. Q., Angew. Chem. Int. Ed., 2011, 50( 49), 11586— 11596 |
| [4] | Chaffee A. L., Knowles G. P., Liang Z., Zhang J., Xiao P., Webley P. A ., Int J. Greenh. Gas Con., 2007, 1( 1), 11— 18 |
| [5] | Davis M. E., Lobo R. F., Chem. Mater., 1992, 4( 4), 756— 768 |
| [6] | Zaarour M., Dong B., Naydenova I., Retoux R., Mintova S., Micropor. Mesopor. Mater., 2014, 189( 1), 11— 21 |
| [7] | Li Y., Yu J., Chem. Rev., 2014, 114( 14), 7268— 7316 |
| [8] | Morales-Pacheco P., Domínguez J. M., Bucio L., Alvarez F., Sedran U., Falco M., Catal. Today, 2011, 166( 1), 25— 38 |
| [9] | Cundy C. S., Henty M. S., Plaisted R. J ., Zeolites, 1995, 15( 4), 342— 352 |
| [10] | Sun S. Q., Wang Y., Sun C. Y., Wang R. W., Zhang Z. D., Zhang Z. T., Qiu S. L., Chem. J. Chinese Universities, 2019, 40 12), 2436— 2442 |
| ( 孙思齐,王影,孙传胤,王润伟,张震东,张宗弢,裘式纶.高等学校化学学报 , 2019, 40(12), 2436— 2442) | |
| [11] | Xie B., Song J., Ren L., Ji Y., Li J., Xiao F. S., Chem. Mater., 2008, 20( 14), 4533— 4535 |
| [12] | Li Y., Chen H., Liu J., Yang W., J. Membrane Sci., 2006, 277( 1), 230— 239 |
| [13] | Zhu G., Qiu S., Yu J., Sakamoto Y., Xiao F., Xu R., Terasaki O., Chem. Mater., 1998, 10( 6), 1483— 1486 |
| [14] | Zhang X., Tang D., Zhang M., Yang R., Powder Technol., 2013, 235( 39), 322— 328 |
| [15] | Song W., Grassian V . H., Larsen S. C., Chem. Commun., 2005, ( 23), 2951— 2953 |
| [16] | Wang B., Li Y., Shao C., Cui M., Dutta P. K., Micropor. Mesopor. Mater., 2016, 230( 11), 89— 99 |
| [17] | Sun Q., Wang N., Bai R., Chen X., Yu J., J. Mater. Chem. A, 2016, 4( 39), 14978— 14982 |
| [18] | Sun Q., Xie Z., Yu J., Natl. Sci. Rev., 2018, 5( 4), 542— 558 |
| [19] | Wang X., Li R., Yu C., Zhang L., Xu C., Zhou H., Micropor. Mesopor. Mater., 2019, 274( 15), 227— 235 |
| [20] | Walton K. S., Abney M. B., Douglas LeVan M., Micropor. Mesopor. Mater., 2006, 91( 1), 78— 84 |
| [21] | Xu M., Chen S., Seo D. K., Deng S., Chem. Eng. J., 2019, 371( 1), 693— 705 |
| [22] | Inayat A., Schneider C., Schwieger W., Chem. Commun., 2015, 51( 2), 279— 281 |
| [23] | Valtchev V., Rigolet S., Bozhilov K. N., Micropor. Mesopor. Mater., 2007, 101( 1), 73— 82 |
| [24] | Awala H., Gilson J. P., Retoux R., Boullay P., Goupil J. M., Valtchev V., Mintova S., Nat. Mater., 2015, 14( 4), 447— 451 |
| [25] | Larlus O., Mintova S., Bein T., Micropor. Mesopor. Mater., 2006, 96( 1), 405— 412 |
| [26] | Bai R., Song Y., Li Y., Yu J., Trend. Chem., 2019, 1( 6), 601— 611 |
| [27] | Zhang K., Ostraat M. L., Catal. Today, 2016, 264( 15), 3— 15 |
| [28] | Na K., Choi M., Ryoo R., Micropor. Mesopor. Mater., 2013, 166( 15), 3— 19 |
| [29] | Koohsaryan E., Anbia M., Chinese J. Catal., 2016, 37( 4), 447— 467 |
| [30] | Na K., Somorjai G. A., Catal. Lett., 2015, 145( 1), 193— 213 |
| [31] | Schwieger W., Machoke A. G., Weissenberger T., Inayat A., Selvam T., Klumpp M., Inayat A., Chem. Soc. Rev., 2016, 45( 12), 3353— 3376 |
| [32] | Zhang Q., Xiang S., Zhang Q., Wang B., Mayoral A., Liu W., Wang Y., Liu Y., Shi J., Yang G., Luo J., Chen X., Terasaki O., Gilson J. P., Yu J., Chem. Mater., 2020, 32( 2), 751— 758 |
| [33] | Zhang Q., Chen G., Wang Y., Chen M., Guo G., Shi J., Luo J., Yu J., Chem. Mater., 2018, 30( 8), 2750— 2758 |
| [34] | Zhang Q., Mayoral A., Terasaki O., Zhang Q., Ma B., Zhao C., Yang G., Yu J., J. Am. Chem. Soc., 2019, 141( 9), 3772— 3776 |
| [35] | Garcia G., Cabrera S., Hedlund J., Mouzon J., J. Cryst. Growth, 2018, 489( 9), 36— 41 |
| [36] | Zhan B. Z., White M. A., Lumsden M., Mueller-Neuhaus J., Robertson K. N., Cameron T. S., Gharghouri M., Chem. Mater., 2002, 14( 9), 3636— 3642 |
| [1] | CHEN Weiqin, LYU Jiamin, YU Shen, LIU Zhan, LI Xiaoyun, CHEN Lihua, SU Baolian. Preparation of Organic Hybrid Mesoporous Beta Zeolite for Alkylation of Mesitylene with Benzyl Alcohol [J]. Chem. J. Chinese Universities, 2022, 43(6): 20220086. |
| [2] | FAN Juanjuan, HAN Yuanyuan, CUI Jie. Monte Carlo Simulation of the Transformation Control of ABC Triblock Copolymer Micelles from Multicompartment Structure to Multicore Structure [J]. Chem. J. Chinese Universities, 2021, 42(3): 857. |
| [3] | JI Yuchun,MAO Wenhui,LIAO Hejie,WANG Jilin,LONG Fei,GU Yunle. Boron Nitride Nanotube-nanosheet Hierarchical Structures andIts Optical/adsorption Properties† [J]. Chem. J. Chinese Universities, 2019, 40(2): 216. |
| [4] | CUI Yan, ZHANG Kai, CHEN Yixin, SUN Hongchen, HUANG Yang, WANG Dandan. In situ Biomimetic Remineralization of Enamel-like Hierarchical Structures† [J]. Chem. J. Chinese Universities, 2018, 39(6): 1121. |
| [5] | KONG Xuelin, LU Yun, YE Guichao, LI Daohao, SUN Jin, YANG Dongjiang, YIN Yafang. Nanofibrillated Cellulose Derived Hierarchical Porous Carbon Aerogels: Efficient Anode Material for Lithium Ion Battery† [J]. Chem. J. Chinese Universities, 2017, 38(11): 1941. |
| [6] | SHI Gang, BAI Huiyu, WANG Likui, SANG Xinxin, YANG Jingguo, NI Caihua, LI Ying. Fabrication of Hierarchical Hemisphere Ag Substrate Using Transfer Imprinting with No Pressure Under Ambient Temperature† [J]. Chem. J. Chinese Universities, 2017, 38(10): 1719. |
| [7] | ZHANG Fan, WANG Bin, WANG Jiaona, LI Xiuyan, LI Congju. Preparation of Hierarchically Structured AOPAN@Mg(OH)2 Composite Nanofibrous Membrane and Cr(Ⅵ)-removal Capacity† [J]. Chem. J. Chinese Universities, 2016, 37(11): 2117. |
| [8] | ZHANG Xiao, XIE Yingjuan, MA Peijun, WU Zhijiao, ZHAO Suling, PIAO Lingyu. Photocatalytic Performances for Mixed-phase Hierarchical Structure TiO2 Prepared by Physical Mixing† [J]. Chem. J. Chinese Universities, 2015, 36(10): 1977. |
| [9] | HUANG Jianye, WANG Fenghui, HOU Shaohang, ZHAO Xiang. Fabrication of Superhydrophobic Surfaces with Hierarchical Structures by an Ultrasonic Etch Method† [J]. Chem. J. Chinese Universities, 2014, 35(9): 1968. |
| [10] | SHEN Junhai, LI Jiajia, LI Liangchao, LI Juanbi, DING Yan. Fabrication and Morphological Control of Hierarchical-structure ZnO† [J]. Chem. J. Chinese Universities, 2014, 35(6): 1135. |
| [11] | JING Weixuan, ZHOU Fan, CHEN Lujia, QI Han, JIANG Zhuangde, WANG Bing, NIU Lingling. Glucose Sensor of Spirally Hierarchical Structure with ZnO Nanowires Synthesized on a Spiralled Au Fiber† [J]. Chem. J. Chinese Universities, 2014, 35(3): 493. |
| [12] | WENG Qiang, CHEN Pei, ZHAO Fengqi, GAO Hongxu, CHEN Xinbing, AN Zhongwei. Synthesis and Characterization of Hierarchical Aluminum Free Beta Zeolite† [J]. Chem. J. Chinese Universities, 2014, 35(2): 215. |
| [13] | WEI Yi, PENG Jun, YU Xia, DING Yanhong, LU Haiyang, REN Zixing, XU Min, LI Guangzhe. Synthesis of Polyoxometalate Microtubes with Hierarchical Structure and the Adsorption of Doxorubicin† [J]. Chem. J. Chinese Universities, 2014, 35(11): 2291. |
| [14] | CHEN Zhong-Xin, LU Hong-Bin. Overview of Graphene/Polyaniline Composite for High-performance Supercapacitor [J]. Chem. J. Chinese Universities, 2013, 34(9): 2020. |
| [15] | JING Wei-Xuan, NIU Ling-Ling, WANG Bing, CHEN Lu-Jia, QI Han, ZHOU Fan, JIANG Zhuang-De. Preparation and Characterization of a ZnO Nanowires-based Cylindrical Hierarchical Structure [J]. Chem. J. Chinese Universities, 2013, 34(7): 1585. |
| Viewed | ||||||
|
Full text |
|
|||||
|
Abstract |
|
|||||