• Article • Previous Articles
TAO Ruimin,LI Tianyi,RU Mengling, CHEN Shuang, CUI Yongli
Received:2025-10-15
Revised:2025-11-18
Online First:2025-11-21
Published:2025-11-21
Contact:
CUI Yongli
E-mail:cuiyongli@cumt.edu.cn
Supported by:CLC Number:
TrendMD:
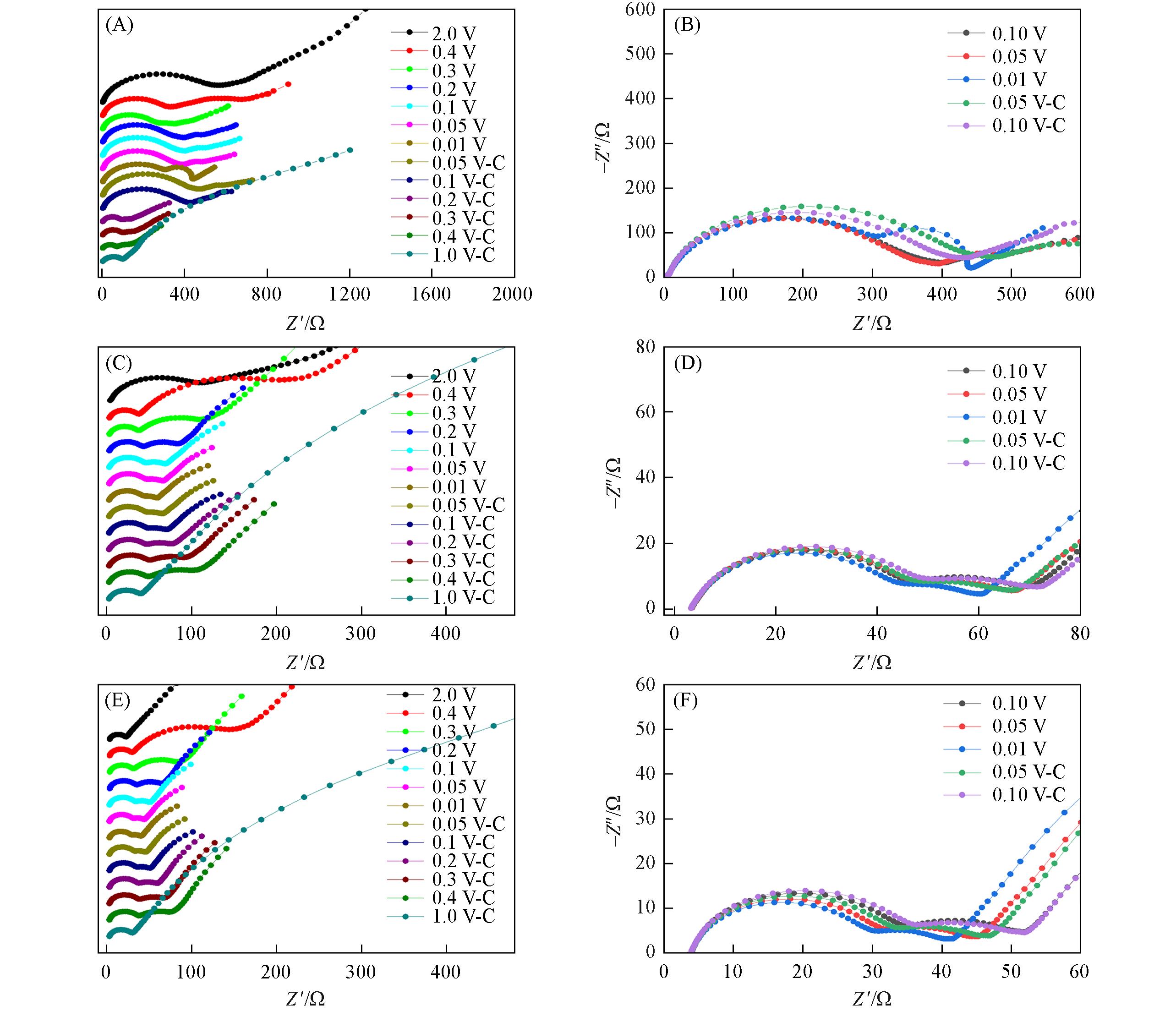
TAO Ruimin, LI Tianyi, RU Mengling, CHEN Shuang, CUI Yongli. The Influence Mechanism of Carbonate Solvents on the Electrochemical Performance of Hard Carbon Anodes in Sodium-Ion Batteries[J]. Chem. J. Chinese Universities, doi: 10.7503/cjcu20250294.
| [1] | WANG Delong, XING Shilu, LI Chunli, ZHOU Nan, HAO Yaling, HUO Rong, LI Xiuhua, LIU Huifeng. Synthesis and Electrochemical Performance of Nanostructured Co-Nd-MOF/GO Electrode Materials [J]. Chem. J. Chinese Universities, 2025, 46(11): 20250191. |
| [2] | LIU Chunxiang, LI Chenguang, YANG Wenjing, LI Jialu, LI Yi. Mechanism of Enhancing Ciprofloxacin Degradation via Waste Molasses-modified Red Mud Zero-valent Iron Catalysts in Heterogeneous Electro-Fenton Systems [J]. Chem. J. Chinese Universities, 2025, 46(11): 20250178. |
| [3] | WAN Zhixin, YU Wei, ZHANG Minxuan, XU Ge, MAO Aiqin. Magnetron-Sputtered MoON Thin Film electrode for High-Performance Electrochemical Energy Storage [J]. Chem. J. Chinese Universities, 0, (): 20250220. |
| [4] | GOU Lei, SUN Aihong, LIANG Kai, WANG Yanjing, FAN Xiaoyong, LI Donglin. Construction of Lanthanide-based Corrosion-resistant Films for Aqueous Zinc Batteries with Ultra-long Cycle Life [J]. Chem. J. Chinese Universities, 2025, 46(10): 20250105. |
| [5] | LI Dong, PU Xue, DENG Li, WU Qilin, JU Anqi. Fabrication of ZIF-67-Derived Hollow Flower-like Ni0.3Co2.7S/MoS2 Composite Catalysts for Hydrogen Production via Water Electrolysis [J]. Chem. J. Chinese Universities, 2025, 46(9): 20250144. |
| [6] | NI Yulong, LI Jing. Actual Active Sites in Spinel Oxides for Electrocatalytic Oxygen Reduction Reaction [J]. Chem. J. Chinese Universities, 2025, 46(9): 20250076. |
| [7] | WANG Yitong, CAO Yuanyuan, ZHOU Lina, YE Rongrong, LI Di, LIU Xinxin, GUO Biao, ZHOU Lijing, ZHAO Zhen. Synthesis of Nitrogen-doped Porous Molybdenum Carbide Nanorods and Their Electrocatalytic Hydrogen Evolution Performance in Acidic and Alkaline Media [J]. Chem. J. Chinese Universities, 2025, 46(8): 20250095. |
| [8] | HUI Chenyang, XU Chenhui, YANG Yang, LIU Jialun, LI Yatai, GUO Zhenguo, YANG Zhenzhen, ZHANG Genlei. Preparation of 2,5-Furandicarboxylic Acid by Electrocatalytic Oxidation of 5-Hydroxymethylfurfural with P-NiCoMo-LDH [J]. Chem. J. Chinese Universities, 2025, 46(8): 20250126. |
| [9] | ZHANG Senchong, LYU Jitao, WANG Sen, LYU Jilei, WANG Shaolong, WANG Yawei. Electrochemical Removal of PFAS by Boron-doped Diamond Electrode [J]. Chem. J. Chinese Universities, 2025, 46(8): 20250096. |
| [10] | LYU Haijun, WANG Shenggang, MA Jiazhuo, HAO Yanzhong. Performance of CsPbI3 Perovskite Solar Cell Improved by Small Molecules of Triphenylamine Containing Pyridine Groups [J]. Chem. J. Chinese Universities, 2025, 46(8): 20250018. |
| [11] | LIANG Yi, HUANG Dequan, YIN Guangda, WEN Gang, QIN Weixian, YAO Yuan, WEI Tao. Electrolytes Design and Electrochemical Performance for Lithium Metal Batteries Based on Fluorosiloxane Solvents [J]. Chem. J. Chinese Universities, 2025, 46(7): 20250024. |
| [12] | SUN Yuhan, JING Maosen, ZHAO Baoyan, BAO Xiaobing, LUO Qiaomei, GOU Lei, FAN Xiaoyong. Sodium Storage Performance of Antimony Electrodes Synergistically Enhanced by Three-dimensional Porous Structure and Alloying with Indium [J]. Chem. J. Chinese Universities, 2025, 46(7): 20250034. |
| [13] | WANG Zhiyuan, DONG Yi, QI Baohui, WEI Xueyang, ZHANG Jiahui, HUANG Qizhong, LI Jisheng, GAO Na, DI Shiying, HU Yufeng. Determination of Acidic Ionic Liquid H0 and the Effect of Salt Effect [J]. Chem. J. Chinese Universities, 2025, 46(7): 20240535. |
| [14] | NI Jiawen, HUANG Zunhui, SONG Tianbing, MA Qianli, HE Tianle, ZHANG Xirong, XIONG Huanming. Ordered Lithium Deposition on Lithium Metal Anode Controlled by Boron-doped Carbon Dots from Solid-state Synthesis [J]. Chem. J. Chinese Universities, 2025, 46(6): 20240185. |
| [15] | LIU Zhaozhen, YAO Yanfang, FANG Kun, LYU Yunrui, YE Yong, LIU Haiyang. Metalloporphyrin/Multi-walled Carbon Nanotubes Composites for Electrocatalytic Hydrogen Evolution Reaction [J]. Chem. J. Chinese Universities, 2025, 46(5): 20240529. |
| Viewed | ||||||
|
Full text |
|
|||||
|
Abstract |
|
|||||