高等学校化学学报 ›› 2026, Vol. 47 ›› Issue (3): 20250279.doi: 10.7503/cjcu20250279

• 物理化学 • 上一篇    下一篇

PEG辅助合成高分散Ag NPs/USY催化剂及其对4-硝基苯酚的高效催化还原

刘浩阳1, 潘博2, 刘治刚3, 张志会1(), 高文秀1, 杨颜如1, 杨苗苗1   

  1. 1.吉林化工大学化学与制药工程学院,吉林 132022
    2.吉林石化公司有机合成厂,吉林 132022
    3.吉林化工大学石油化工学院,吉林 132022
  • 收稿日期:2025-09-28 出版日期:2026-03-10 发布日期:2025-11-21
  • 通讯作者: 张志会 E-mail:zhangzh@jlict.edu.cn
  • 基金资助:
    吉林省科技发展计划项目(YDZJ202301ZYTS319);吉林省教育厅科研规划项目(JJKH20240303KJ)

PEG-assisted Synthesis of Highly Dispersed Ag NPs/USY Catalysts and Their Efficient Catalytic Reduction of 4-Nitrophenol

LIU Haoyang1, PAN Bo2, LIU Zhigang3, ZHANG Zhihui1(), GAO Wenxiu1, YANG Yanru1, YANG Miaomiao1   

  1. 1.School of Chemistry and Pharmaceutical Engineering,Jilin University of Chemical Technology,Jilin 132022,China
    2.Organic Synthesis Plant,Jilin Petrochemical Company,Jilin 132022,China
    3.School of Petrochemical Engineering,Jilin University of Chemical Technology,Jilin 132022,China
  • Received:2025-09-28 Online:2026-03-10 Published:2025-11-21
  • Contact: ZHANG Zhihui E-mail:zhangzh@jlict.edu.cn
  • Supported by:
    the Science and Technology Development Program of Jilin Province, China(YDZJ202301ZYTS319);the Research Planning Project of Education Department of Jilin Province, China(JJKH20240303KJ)

摘要:

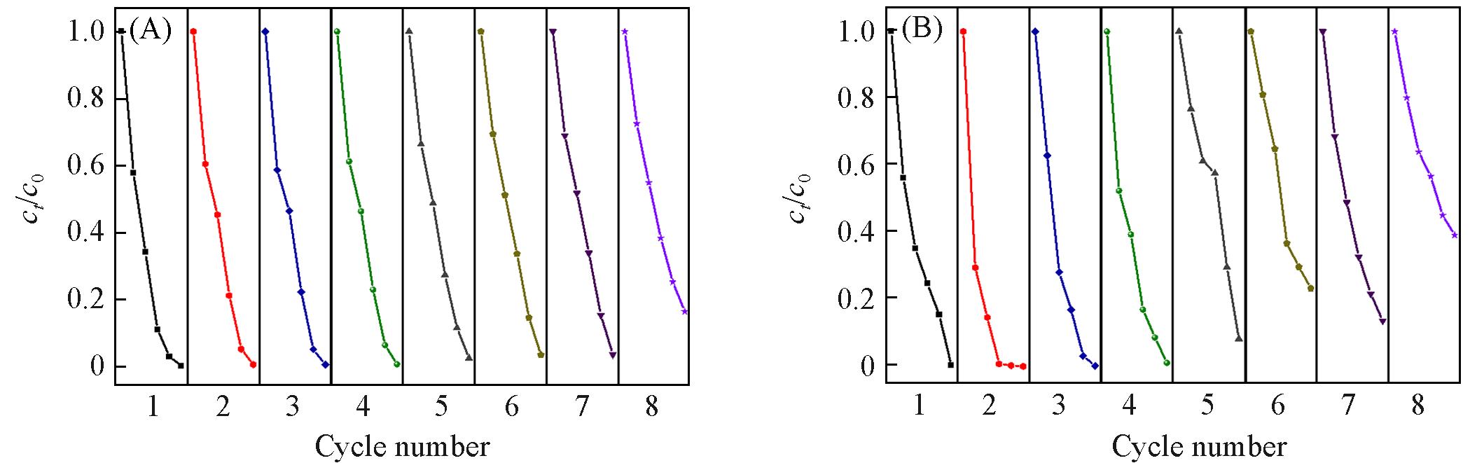
在贵金属催化体系中实现贵金属纳米颗粒的高度均匀分散, 同时构建强金属-载体相互作用是抑制活性组分迁移与流失、 提升催化剂本征活性及稳定性的关键因素. 本文以USY分子筛为载体、 PEG为还原与稳定剂, 利用聚乙二醇(PEG)辅助水热合成法, 通过调整PEG分子量与银负载量, 制备了一系列Ag NPs/USY催化剂, 并将其用于4-硝基苯酚(4-NP)的催化加氢反应. 采用X射线衍射(XRD)、 扫描电子显微镜(SEM)、 X射线光电子能谱(XPS)和N2气吸附-脱附曲线(BET)等手段对其结构进行了表征. 结果表明, 利用PEG的空间位阻效应及其与分子筛表面官能团的协同作用, 实现了Ag NPs在USY介孔通道内的高度分散和有效锚定, 显著抑制了Ag NPs的聚集和流失. 在常温常压条件下, PEG-400辅助合成的5%Ag NPs/USY对高浓度4-NP(500 mg/L)表现出优异的催化活性, 在8 min内转化率超过99.9%, 表观速率常数高达0.817 min⁻¹, 7次循环后仍保持90%以上活性, 其稳定性显著优于Ag NPs/HY体系. 表征分析结果进一步证实, 孔道内限域的Ag NPs具有更高的抗氧化与抗流失能力; XPS表征结果显示, 循环后Ag NPs/USY中单质银的保留量为Ag NPs/HY的2.07倍.

关键词: 银纳米粒子, USY分子筛, 4-硝基苯酚, 催化还原

Abstract:

In precious metal catalytic systems, achieving a high degree of uniform dispersion of precious metal nanoparticles while establishing strong metal-support interactions is crucial for inhibiting the migration and loss of active components, as well as enhancing the intrinsic activity and stability of the catalyst. This study utilized a polyethylene glycol(PEG)-assisted hydrothermal synthesis method to control the dispersion and anchoring state of silver nanoparticles(Ag NPs), resulting in the preparation of Ag NPs/USY catalysts, which were then applied in the catalytic hydrogenation reaction of 4-Nitrophenol(4-NP). Using USY zeolite as the support and PEG as the reducing and stabilizing agent, a series of Ag NPs/USY catalysts was prepared by adjusting the molecular weight of PEG and the silver loading. Their structures were characterized using X-ray diffraction(XRD), scanning electron microscopy (SEM), X-ray photoelectron spectroscopy(XPS), and nitrogen adsorption-desorption(BET). The results indicate that the steric hindrance effect of PEG and its synergistic interaction with the functional groups on the zeolite surface enable the high dispersion and effective anchoring of Ag NPs within the mesoporous channels of USY zeolite, significantly suppressing the aggregation and loss of Ag NPs. Under ambient temperature and pressure conditions, the 5%Ag NPs/USY synthesized with the aid of PEG-400 exhibits excellent catalytic activity for high concentrations of 4-NP(500 mg/L), achieving a conversion rate exceeding 99.9% within 8 min, with an apparent rate constant as high as 0.817 min⁻¹. After seven cycles, it maintains over 90% activity, demonstrating significantly superior stability compared to the Ag NPs/HY system. Characterization analysis further confirms that the Ag NPs confined within the pores exhibits higher resistance to oxidation and loss. XPS results indicate that the retention of elemental silver in Ag NPs/USY is 2.07 times that of Ag NPs/HY after cycling.

Key words: Silver nanoparticles, USY zeolite, 4-Nitrophenol, Catalytic reduction

中图分类号: 

TrendMD: