高等学校化学学报 ›› 2026, Vol. 47 ›› Issue (3): 20250241.doi: 10.7503/cjcu20250241

• 高分子化学 • 上一篇    下一篇

花状聚苯胺微纳结构的制备与电化学性能

张禹1, 陈龙1, 陈奥1, 盛全康1, 王传贵2, 胡思泉1, 陈韶云1(), 胡成龙1()   

  1. 1.江汉大学柔性光电材料与技术教育部重点实验室, 光电材料与技术学院, 武汉 430056
    2.中南橡胶集团有限责任公司, 宜昌 443001
  • 收稿日期:2025-08-31 出版日期:2026-03-10 发布日期:2025-11-21
  • 通讯作者: 陈韶云,胡成龙 E-mail:cescsy@jhun.edu.cn;ceshcl@jhun.edu.cn
  • 基金资助:
    教育部可持续化学工程与技术学科创新引智基地项目(D25004)

Preparation and Electrochemical Properties of Flower-like Polyaniline Micro-nano Structure

ZHANG Yu1, CHEN Long1, CHEN Ao1, SHENG Quankang1, WANG Chuangui2, HU Siquan1, CHEN Shaoyun1(), HU Chenglong1()   

  1. 1.Key Laboratory of Flexible Optoelectronic Materials and Technology,Ministry of Education,School of Optoelectronic Materials & Technology,Jianghan University,Wuhan 430056,China
    2.Zhongnan Rubber Group Co. ,Ltd. ,Yichang 443001,China
  • Received:2025-08-31 Online:2026-03-10 Published:2025-11-21
  • Contact: CHEN Shaoyun, HU Chenglong E-mail:cescsy@jhun.edu.cn;ceshcl@jhun.edu.cn
  • Supported by:
    the Sustainability Chemical Engineering and Technology Discipline Innovation Intelligence Base of Ministry of Education, China(D25004)

摘要:

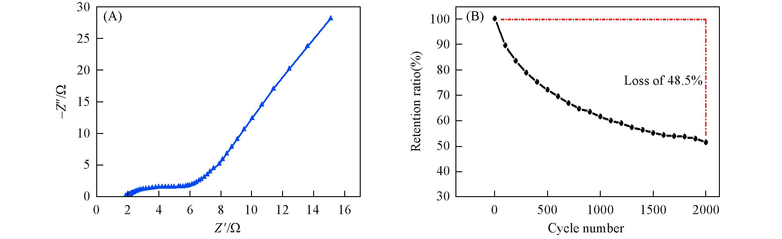
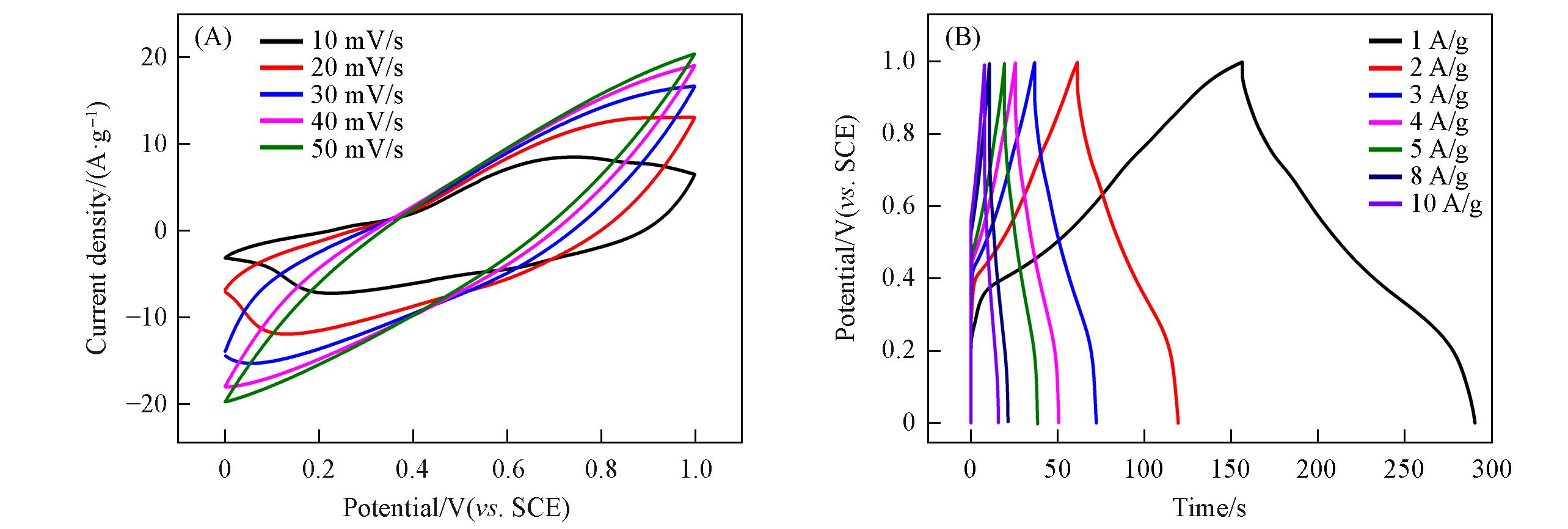
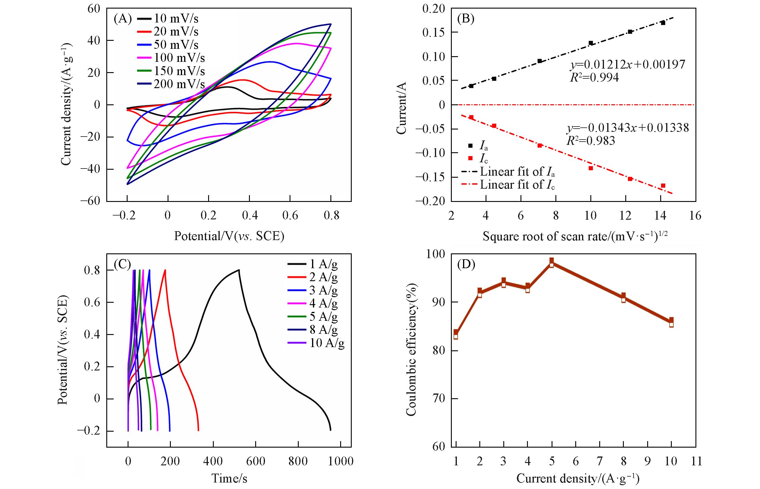
微纳结构电极具有高比表面积、 可调控的形貌和独特的尺寸依赖性, 可以在充放电过程中提供有效的活性反应位点、 改善电荷传输和存储, 从而在超级电容器中实现高效的电化学性能. 本文将苯胺单体溶解于弱酸性对甲苯磺酸/乙二醇/水混合溶剂中, 在冰水浴中通过苯胺单体氧化聚合制得低聚物片状模板; 然后将低聚物模板分散到溶有苯胺单体的硫酸水溶液中, 以过硫酸铵作为水溶性引发剂进一步引发聚合反应, 制备了具有纳米层级结构的花状聚苯胺(Polyaniline, PANI). 以导电碳布(CC)作为支撑基底, 将花状PANI用作超级电容器的电极材料, 对其电化学性能进行了研究. 结果表明, 在1 A/g的电流密度下, 花状PANI微纳结构电极的比电容值约为433 F/g; 当电流密度从1 A/g增加到10 A/g时, 比电容值降低了46.8%; 当电流密度为10 A/g时, 充放电循环2000次后的比电容损失率为48.5%. 用花状PANI制备的对称性PANI/CC||滤纸||PANI/CC全固态柔性超级电容器在550 W/kg功率密度下的最大能量密度约为20.65 Wh/kg.

关键词: 聚苯胺, 花状微纳结构, 电极材料, 电化学性能, 超级电容器

Abstract:

Micro-nano structured electrodes have high specific surface area, controllable morphology and unique size-dependent characteristics, which can provide effective active reaction sites, and improve charge transfer and storage during charge/discharge process, thereby achieving high electrochemical performance in supercapacitors. In this paper, the aniline monomer was dissolved in a weakly acidic p-toluenesulfonic acid/ethylene glycol water mixed solvent, and the aniline monomer was oxidized and polymerized into a oligomer nanosheet template in an ice water bath. And then, the oligomer template was dispersed into the sulfuric acid aqueous solution containing aniline monomer, and ammonium persulfate was used as a water-soluble initiator to further initiate the polymerization reaction, then the flower-like polyaniline(PANI) with nano-hierarchical structure was successfully prepared. Using conductive carbon cloth as the supporting substrate, flower-like PANI was prepared for electrode materials in supercapacitors, and its electrochemical properties were studied. The experimental results showed that the specific capacitance of the flower-like PANI micro-nano structure electrode was about 433 F/g at a current density of 1 A/g. The specific capacitance was only decreased by 46.8% when the current density increased from 1 A/g to 10 A /g. The specific capacitance loss was only 48.5% after 2000 charge-discharge cycles at 10 A/g. The single device prepared with flower-like PANI had a maximum energy density of approximately 20.65 Wh/kg at a power density of 550 W/kg.

Key words: Polyaniline, Flower-like micro-nano structure, Electrode material, Electrochemical performance, Supercapacitor

中图分类号: 

TrendMD: