高等学校化学学报

• 研究论文 • 上一篇    下一篇

汤心颐先生诞辰100周年纪念专辑 Aqueous Ionic Liquid mediated hydrolysis of native corn starch to obtain different low molecular weight starch

杨瑞,王晓琳,党倩,刘正平   

  1. 北京师范大学
  • 收稿日期:2025-11-02 修回日期:2025-12-15 出版日期:2025-12-16 发布日期:2025-12-16
  • 通讯作者: 刘正平

Aqueous Ionic Liquid mediated hydrolysis of native corn starch to obtain different low molecular weight starch

Yang Rui, Wang Xiaolin, Dang Qian, Liu Zhengping   

  1. Beijing Normal University
  • Received:2025-11-02 Revised:2025-12-15 Online:2025-12-16 Published:2025-12-16
  • Contact: Zheng-ping Liu

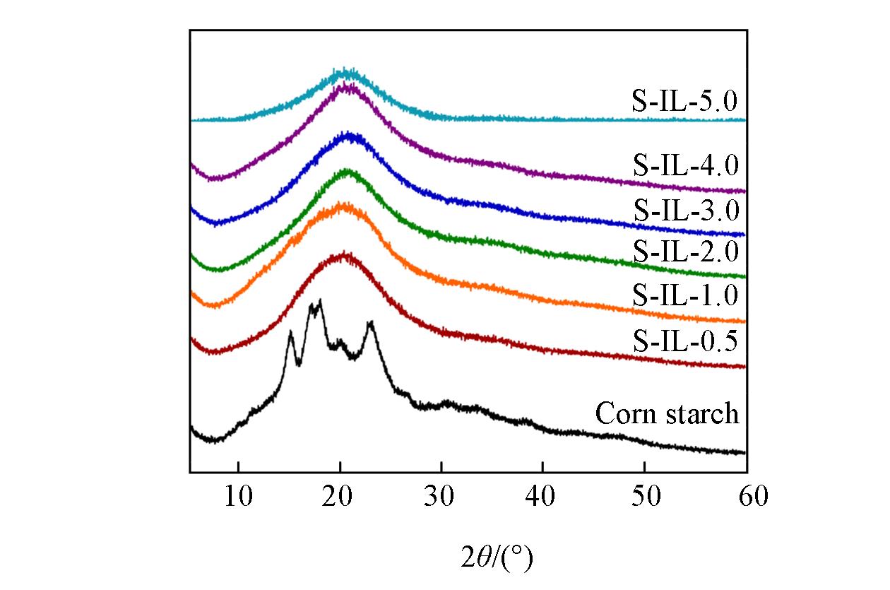
摘要: In this work, we proposed a strategy for the hydrolysis of native corn starch, after the treatment of corn starch in an ionic liquid aqueous solution, it is an awfully “green” and simple means to obtain starch with low molecular weight and amorphous state. X-ray diffraction results revealed that the natural starch crystalline region was largely disrupted by ionic liquid owing to the broken intermolecular and intramolecular hydrogen bonds. After hydrolysis, the morphology of starch changed from particles of native corn starch into little pieces, and their molecule weight could be effectively regulated by hydrolysis time, and also the hydrolyzed starch samples exhibited gradually decreased thermal stability with the extension of hydrolysis time. This work would counsel as a powerful tool for the development of native starch in realistic applications.

Abstract: In this work, we proposed a strategy for the hydrolysis of native corn starch, after the treatment of corn starch in an ionic liquid aqueous solution, it is an awfully “green” and simple means to obtain starch with low molecular weight and amorphous state. X-ray diffraction results revealed that the natural starch crystalline region was largely disrupted by ionic liquid owing to the broken intermolecular and intramolecular hydrogen bonds. After hydrolysis, the morphology of starch changed from particles of native corn starch into little pieces, and their molecule weight could be effectively regulated by hydrolysis time, and also the hydrolyzed starch samples exhibited gradually decreased thermal stability with the extension of hydrolysis time. This work would counsel as a powerful tool for the development of native starch in realistic applications.

TrendMD: