高等学校化学学报 ›› 2018, Vol. 39 ›› Issue (3): 537.doi: 10.7503/cjcu20170342

• 物理化学 • 上一篇    下一篇

Ni@MWCNTs催化阳极的制备及在直接尿素(尿液)燃料电池中的应用

陈晓菲, 柳朝阳, 雷杨, 范宝安(), 郭芬()   

  1. 武汉科技大学化学与化工学院, 煤转化与新型炭材料湖北省重点实验室, 武汉 430081
  • 收稿日期:2017-06-05 出版日期:2018-03-10 发布日期:2018-01-23
  • 作者简介:联系人简介: 郭 芬, 女, 博士, 讲师, 主要从事新能源材料与器件研究. E-mail:guofen@wust.edu.cn; 范宝安, 男, 博士, 副教授, 主要从事固体氧化物燃料电池研究. E-mail:fanbaoan@wust.edu.cn
  • 基金资助:
    国家自然科学基金(批准号: 21206129)和武汉科技大学青年科技骨干培育计划(批准号: 2017xz011)资助

Preparation of Ni@MWCNTs Anode Catalyst and Its Application in Direct Urea(Urine) Fuel Cell

CHEN Xiaofei, LIU Zhaoyang, LEI Yang, FAN Baoan*(), GUO Fen*()   

  1. School of Chemistry and Chemical Engineering, Key Laboratory of Hubei Province for Coal Conversion and New Carbon Materials, Wuhan University of Science and Technology, Wuhan 430081, China
  • Received:2017-06-05 Online:2018-03-10 Published:2018-01-23
  • Contact: FAN Baoan,GUO Fen E-mail:fanbaoan@wust.edu.cn;guofen@wust.edu.cn
  • Supported by:
    † Supported by the National Natural Science Foundation of China(No;21206129) and the Youth Science and Technology Backbone Training Program of Wuhan University of Science and Technology, China(No;2017xz011)

摘要:

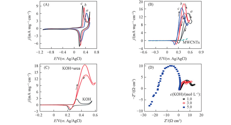
在表面自吸附多壁碳纳米管(MWCNTs)的废弃面膜布上电沉积镍(Ni)制备得到成本低廉、 结构疏松的柔性Ni@MWCNTs电极. 利用扫描电子显微镜、 X射线衍射仪及电感耦合等离子体质谱仪对电极的微观形貌、 元素分布、 晶体结构和催化剂含量进行表征. 采用循环伏安法、 计时电流法和交流阻抗法研究了Ni@MWCNTs的单电极催化性能和全电池输出性能. 结果显示, 尿素电氧化反应可能产生强吸附性的中间产物, 当KOH的浓度为3.0 mol/L时, 氧化峰电流密度达到最高值(18.7 mA·mg-1·cm-2); 以Ni@MWCNTs电极为负极的直接尿素燃料电池的开路电压高达0.87 V, 峰功率密度为1.74 mW/cm2. 当以人类尿液为燃料时, 增大燃料的pH值, 能大幅提升直接尿液燃料电池的性能.

关键词: 多壁碳纳米管, 镍, 尿素, 尿液, 燃料电池

Abstract:

A flexible nickel@multi-wall carbon nanotubes(Ni@MWCNTs) electrode with low-cost and loose-structure was prepared by electrodepositing nickel on MWCNTs, which were self-adsorbed on the abandoned facial mask cloth by simple immersion method. The morphology, element distribution, crystal structure and catalyst content of as-prepared electrode were characterized by scanning electron microscope(SEM), X-ray diffractometer(XRD) and inductively coupled plasma-mass spectrometer(ICP-MS). Cyclic voltammetry(CV), chronoamperometry and alternate current impedance methods were applied to investigate the single electrode’s catalytic activity and the whole cell’s output performance based on the Ni@MWCNTs anode. The results imply that the strongly-adsorbed intermediate possibly generates during urea electro-oxidation. When the concentration of KOH is 3.0 mol/L, the oxidation peak current density reaches the highest value of 18.7 mA·mg-1·cm-2. The direct urea fuel cell gives an open circuit voltage of 0.87 V and a peak power density of 1.74 mW/cm2, indicating the superiority of Ni@MWCNTs anode and H2O2 oxidant. When human urine acts as fuel, the output performance of urine fuel cell is significantly enhanced by increasing the alkalinity of urine.

Key words: Multi-wall carbonate nanotubes, Nickel, Urea, Urine, Fuel cell

中图分类号: 

TrendMD: