高等学校化学学报 ›› 2026, Vol. 47 ›› Issue (2): 20250299.doi: 10.7503/cjcu20250299

• 物理化学 • 上一篇    下一篇

石墨烯限域调控Fe原子的电子性质和CO活化机理

罗丹1(), 王建欣1, 路宽2, 王敏1, 畅通1()   

  1. 1.运城学院应用化学系, 运城盐湖生态保护与资源利用厅市共建山西省重点实验室, 运城 044000
    2.中国科学院山西煤炭化学研究所, 煤转化国家重点实验室, 太原 030001
  • 收稿日期:2025-10-15 出版日期:2026-02-10 发布日期:2025-12-08
  • 通讯作者: 罗丹,畅通 E-mail:luodan@ycu.edu.cn;changtong@ycu.edu.cn
  • 基金资助:
    山西省应用基础研究项目(202403021212036);山西省应用基础研究项目(202303021211188);山西省应用基础研究项目(202303021222243);运城市基础研究项目(YCKJ-2023049);来晋奖励项目(QZX-2023012);运城学院博士科研启动项目(YQ2023025)

Electronic Properties and CO Activation Mechanism of Fe Atom Modulated by Graphene Confinement

LUO Dan1(), WANG Jianxin1, LU Kuan2, WANG Min1, CHANG Tong1()   

  1. 1.Shanxi Key Laboratory of Ecological Protection and Resources Utilization of Yuncheng Salt Lake,Department of Applied Chemistry,Yuncheng University,Yuncheng 044000,China
    2.State Key Laboratory of Coal Conversion,Institute of Coal Chemistry,Chinese Academy of Sciences,Taiyuan 030001,China
  • Received:2025-10-15 Online:2026-02-10 Published:2025-12-08
  • Contact: LUO Dan, CHANG Tong E-mail:luodan@ycu.edu.cn;changtong@ycu.edu.cn
  • Supported by:
    the Applied Basic Research Program of Shanxi Province, China(202403021212036);the Basic Research Program of Yuncheng, China(YCKJ-2023049);the Reward Program for Coming to Shanxi, China(QZX-2023012);the Yuncheng University Doctoral Research Launch Project, China(YQ2023025)

摘要:

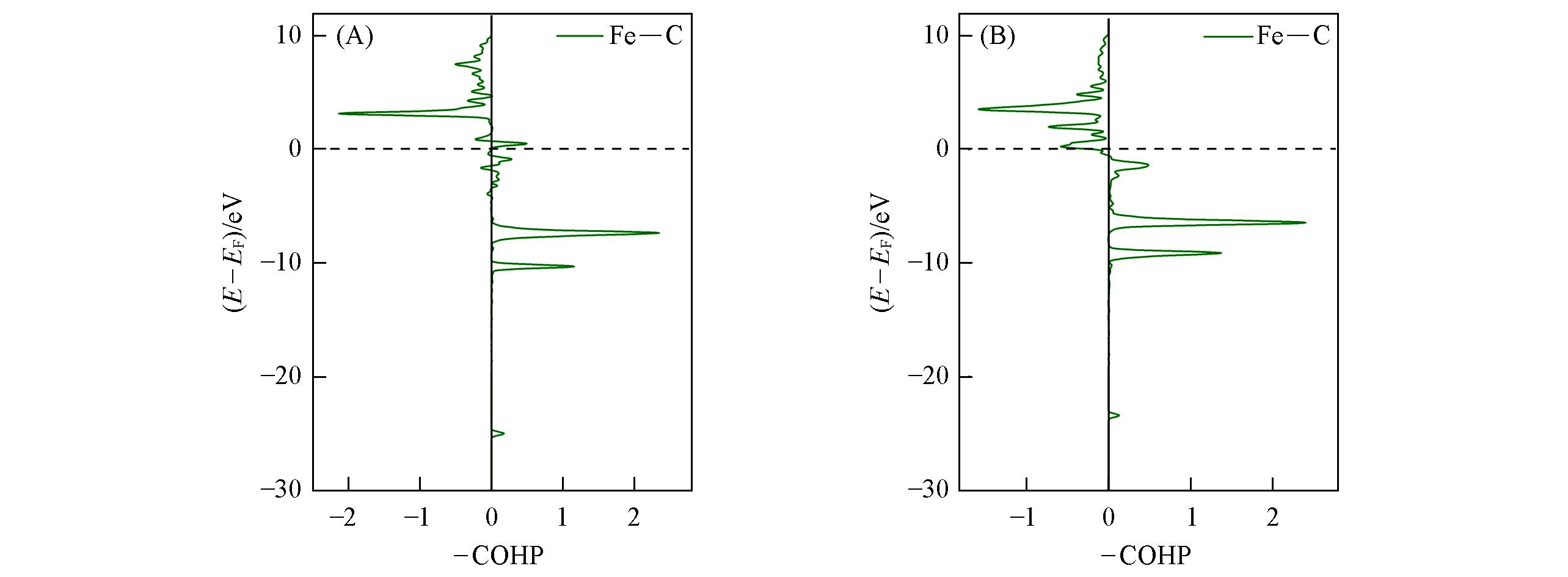
基于密度泛函理论(DFT), 研究了缺陷石墨烯限域调控Fe原子的结构、 电子性质、 CO吸附和活化性能, 揭示了Fe原子不同配位环境对费托活化性能的影响. 结果显示, Fe掺杂单原子缺陷石墨烯(FeC@graphene)和Fe掺杂二原子缺陷石墨烯(Fe2C@graphene)的结合能分别为-7.49和-6.50 eV, 表明FeC@graphene的结构更稳定. 由于FeC@graphene的态密度(DOS)向左偏移值大于Fe2C@graphene(1.5 eV> 0.8 eV), FeC@graphene结构的能量更低, 所以结构更稳定. CO在FeC@graphene和Fe2C@graphene的吸附能分别为-1.43和-1.69 eV, 表明CO更稳定地吸附在Fe2C@graphene上. FeC@graphene和Fe2C@graphene的d带中心值分别为-1.26和-0.83 eV; 能带带隙分别为0.45和0.01 eV, d带中心越接近费米能级, 带隙越小, 越有利于物种吸附, 所以CO更容易吸附在Fe2C@graphene上. Fe2C@graphene-CO带隙增加0.25 eV, 而FeC@graphene-CO带隙降低0.04 eV; FeC@graphene-CO和Fe2C@graphene-CO的集成晶体轨道哈密顿布居(ICOHP)值分别为-1.99和-2.50 eV, 表明Fe2C@graphene与CO之间的相互作用更强, 而强相互作用不利于CO活化. 在FeC@graphene和Fe2C@graphene结构中, CO活化的最佳路径为CO* → CHO* → CH* + O*, 有效能垒分别为2.53和3.50 eV, CO在FeC@graphene上更容易活化. 因此, 活性中心Fe原子的三配位结构更稳定且有利于提高费托活性.

关键词: 缺陷石墨烯, 铁原子, 电子性质, 一氧化碳吸附及活化

Abstract:

Using the density functional theory(DFT), the comprehensive and in-depth exploration was conducted into the structure, electronic properties, CO adsorption and activation performance of Fe atoms modulated by graphene confinement to reveal the influence of different coordination environment of Fe active centers on Fischer-Tropsch(FT) performance. The binding energies of Fe-doped single-atom defect graphene(FeC@graphene) and Fe-doped di-atom defect graphene are -7.49 and -6.50 eV, respectively, which indicates that FeC@graphene structure exhibits greater stability compared to the Fe2C@graphene. The density of states(DOS) of FeC@graphene exhibits the more significant left-shift compared to that of Fe2C@graphene, with values of 1.5 and 0.8 eV, respectively. The greater left-shift indicates that the FeC@graphene structure possesses lower energy, and the higher stability. The adsorption energies of CO on FeC@graphene and Fe2C@graphene are -1.43 and -1.69 eV, respectively, which reflects that CO adsorption on Fe2C@graphene is more stable than that of FeC@graphene. The d band center values of FeC@graphene and Fe2C@graphene are -1.26 and -0.83 eV, respectively, while their energy band gaps are 0.45 and 0.01 eV, respectively. The closer the d-band center is to the Fermi level, and the smaller the band gap, which is more conducive to the adsorption of species. Thus, compared with FeC@graphene, CO has a higher propensity to be adsorbed onto Fe2C@graphene. The band gap of Fe2C@graphene-CO increases by 0.25 eV, while FeC@graphene decreases by 0.04 eV; the antibonding component of FeC@graphene-CO is more than that of Fe2C@graphene-CO, and the integrated crystal orbital Hamilton population(ICOHP) values are -1.99 and -2.50 eV. These suggest that the interaction between Fe2C@graphene and CO is stronger, while strong interaction is unfavorable for CO activation. On the FeC@graphene and Fe2C@graphene, the most favorable pathway for CO activation follows the sequence: CO* → CHO* → CH* + O*, with an effective energy barrier of 2.53 and 3.50 eV, respectively. It is easier for CO activation on FeC@graphene. Therefore, the three-coordination structure of the active center Fe is more stable and beneficial for enhancing FTS activity.

Key words: Defect graphene, Fe atom, Electronic property, CO adsorption and activity

中图分类号: 

TrendMD: