高等学校化学学报 ›› 2022, Vol. 43 ›› Issue (8): 20220155.doi: 10.7503/cjcu20220155

• 高分子化学 • 上一篇    下一篇

异戊橡胶中填料的絮凝及其对性能的影响

张之材1,2, 王玉阁1,2, 谷倩倩1,2, 吕永鹏1,2, 肖建数1,2, 尹园1,2, 孙洪国1,2, 郑雅芳1,2, 孙昭艳1,2()   

  1. 1.中国科学院长春应用化学研究所, 高分子物理与化学国家重点实验室, 长春 130022
    2.中国科学技术大学, 合肥 230026
  • 收稿日期:2022-03-09 出版日期:2022-08-10 发布日期:2022-04-17
  • 通讯作者: 孙昭艳 E-mail:zysun@ciac.ac.cn
  • 基金资助:
    国家自然科学基金重大项目(21790344)

Flocculation of Fillers in Isoprene Rubber and Its Effects on Properties

ZHANG Zhicai1,2, WANG Yuge1,2, GU Qianqian1,2, LYU Yongpeng1,2, XIAO Jianshu1,2, YIN Yuan1,2, SUN Hongguo1,2, ZHENG Yafang1,2, SUN Zhaoyan1,2()   

  1. 1.State Key Laboratory of Polymer Physics and Chemistry,Changchun Institute of Applied Chemistry,Chinese Academy of Sciences,Changchun 130022,China
    2.University of Science and Technology of China,Hefei 230026,China
  • Received:2022-03-09 Online:2022-08-10 Published:2022-04-17
  • Contact: SUN Zhaoyan E-mail:zysun@ciac.ac.cn
  • Supported by:
    the National Natural Science Foundation of China(21790344)

摘要:

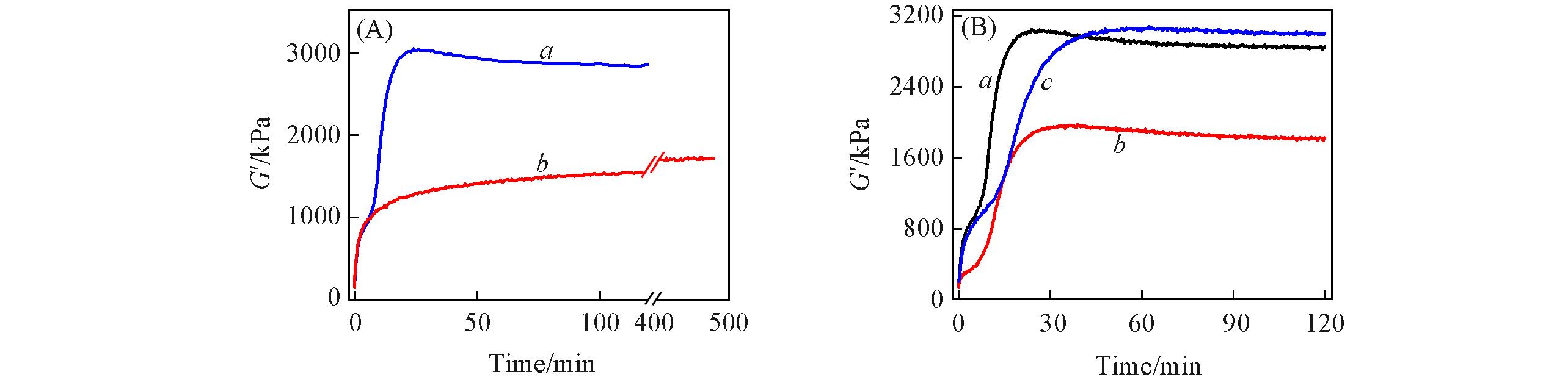
针对硫化过程对异戊橡胶中的填料絮凝及其性能的影响等问题, 通过改变硫化温度和硫化时间, 对比研究了炭黑、 白炭黑、 炭黑/白炭黑混合填料体系中的填料絮凝过程, 比较其动、 静态性能等的变化. 为了分析交联网络在填料絮凝过程中的贡献, 对比了工艺相同的含硫与不含硫胶料在不同温度和时间下的絮凝过程. 在含硫体系中, 佩恩效应主要来自于填料网络和橡胶网络的贡献; 而在不含硫体系中, 佩恩效应主要来自于填料网络的贡献. 研究结果表明, 橡胶网络的形成在一定程度上限制了填料的絮凝, 因此, 随温度升高, 含硫体系的佩恩效应减小, 而无硫体系的佩恩效应逐渐增加或先减小后增加. 随时间延长, 含硫胶料和无硫胶料的佩恩效应均增加, 但机制有所不同. 其中含硫胶料主要来自于交联网络的形成, 而无硫胶料主要来自于填料的絮凝. 絮凝动力学研究表明, 快速絮凝发生在较短的时间范围内, 在长时间范围内絮凝开始变慢但并不会停止, 且在较低温度(60 ℃)下絮凝仍会发生. 此外, 高温和长时间热处理导致材料的拉伸性能出现下降, 但动态疲劳性能有所增强.

关键词: 填料絮凝, 异戊橡胶, 硫化温度, 炭黑

Abstract:

The vulcanization process has a significant impact on the filler flocculation in isoprene rubber and its corresponding properties. By changing the vulcanization temperature and vulcanization time, the flocculation processes of fillers in carbon black, silica, and carbon black/silica mixed filler systems were compared, and the influences on its static and dynamic properties were investigated. In order to analyze the contribution of the chemical crosslinked network to the filler flocculation process, the flocculation processes of crosslinked and uncrosslinked systems with the same process at different temperatures and times were compared. In the crosslinked system, the Payne effect mainly comes from the contribution of the filler network and the chemical crosslinked network, while in the uncrosslinked system, the Payne effect mainly comes from the contribution of the filler network. The results demonstrate that the formation of the chemical crosslinked network limits the flocculation of fillers to a certain extent. Therefore, with the increase of temperature, the Payne effect of the crosslinked system decreases, while the Payne effect of the uncrosslinked system gradually increases or first decreases and then increases. With increasing vulcanization time, the Payne effect for both crosslinked and uncrosslinked systems increases, but the mechanisms are different, which can be ascribed to the formation of chemical crosslinked network for crosslinked system, but the flocculation of fillers for the uncrosslinked system. The flocculation kinetics study of fillers shows that fast flocculation occurs in a short time range, and then changes to slow but will not stop over a long period of time, and the flocculation still occurs even at lower temperatures(60 ℃). In addition, high temperature and prolonged heat-treatment resulted in a decrease in the tensile properties of the material, but an enhancement of the dynamic fatigue properties.

Key words: Filler flocculation, Isoprene rubber, Vulcanization temperature, Carbon black

中图分类号: 

TrendMD: