高等学校化学学报 ›› 2026, Vol. 47 ›› Issue (3): 20250261.doi: 10.7503/cjcu20250261

• 物理化学 • 上一篇    下一篇

金属@分子筛纳米反应器的合成及对CO2加氢制二甲醚反应的催化性能

孟祥龙, 刘仕轲, 樊兴泽, 向晨, 王纯正, 郭海玲()   

  1. 中国石油大学(华东)化学化工学院, 重质油全国重点实验室, 青岛 266555
  • 收稿日期:2025-09-15 出版日期:2026-03-10 发布日期:2025-11-21
  • 通讯作者: 郭海玲 E-mail:guohl@upc.edu.cn
  • 基金资助:
    国家重点研发计划项目(2022YFE0116000)

Synthesis of Metal@Zeolite Nanoreactors and Their Catalytic Performance in CO2 Hydrogenation to Dimethyl Ether

MENG Xianglong, LIU Shike, FAN Xingze, XIANG Chen, WANG Chunzheng, GUO Hailing()   

  1. State Key Laboratory of Heavy Oil Processing,College of Chemistry and Chemical Engineering,China University of Petroleum(East China),Qingdao 266555,China
  • Received:2025-09-15 Online:2026-03-10 Published:2025-11-21
  • Contact: GUO Hailing E-mail:guohl@upc.edu.cn
  • Supported by:
    the National Key Research and Development Program of China(2022YFE0116000)

摘要:

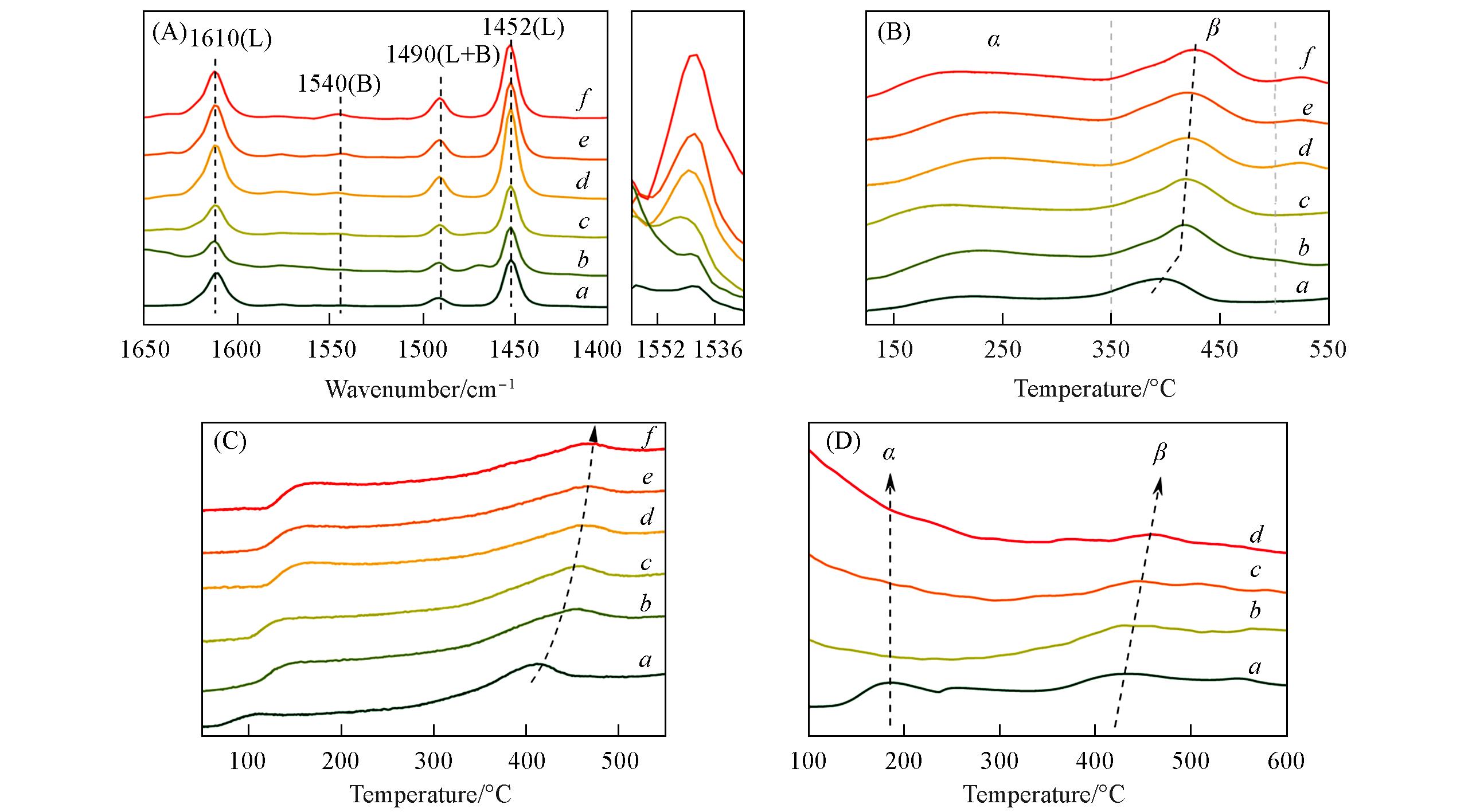
采用溶解再结晶策略合成了一系列中空Cu-ZnO@H-HZSM-5纳米反应器, 并考察了其对CO2加氢直接制二甲醚反应的催化性能. 结构表征结果显示, 催化剂为中空结构, Cu和ZnO物种以粒径约2.8 nm的颗粒形式高度分散在分子筛中空腔体内部, 壳层主要为硅铝分子筛. 研究结果表明, 在分子筛壳层骨架中引入Al原子可实现分子筛骨架酸强度和酸量的有效调控, 该纳米反应器有效抑制了逆水煤气副反应的发生, 二甲醚的产率可达55.4 mg·gcat-1·h-1, 稳定反应100 h未见明显失活.

关键词: CO2加氢, 金属-分子筛, 纳米反应器, 二甲醚

Abstract:

Hollow Cu-ZnO@H-HZSM-5 nanoreactors were synthesized via a dissolution-recrystallization strategy, and their catalytic performance for direct CO₂ hydrogenation to dimethyl ether(DME) was systematically evaluated. Structural characterizations confirmed the formation of a hollow architecture, in which Cu and ZnO species were uniformly dispersed as ~2.8 nm nanoparticles within the internal cavity, while the shell was primarily composed of aluminosilicate zeolite. Incorporation of Al atoms into the zeolite framework enabled precise modulation of both the acidity strength and density. Benefiting from the confined hollow structure and tailored acid-metal synergy, the nanoreactor effectively suppressed the reverse water-gas shift reaction, delivering a high DME productivity of 55.4 mg·gcat-1·h-1 and exhibiting excellent stability without noticeable deactivation over 100 h of continuous operation.

Key words: CO2 hydrogenation, Metal-zeolite, Nanoreactor, Dimethyl ether

中图分类号: 

TrendMD: