高等学校化学学报 ›› 2016, Vol. 37 ›› Issue (2): 306.doi: 10.7503/cjcu20150704

• 物理化学 • 上一篇    下一篇

Li1.5Al0.5Ge1.5(PO4)3基固体复合电解质的制备及锂离子导电行为

余涛, 韩喻(), 王珲, 熊仕昭, 谢凯, 郭青鹏   

  1. 国防科学技术大学航天科学与工程学院材料科学与工程系, 长沙 410073
  • 收稿日期:2015-09-09 出版日期:2016-02-10 发布日期:2016-01-14
  • 作者简介:联系人简介: 韩 喻, 女, 博士, 副教授, 主要从事全固态电池研究. E-mail:yumihan1981@sina.com

Preparation and Lithium Ion Transport Behavior for Li1.5Al0.5Ge1.5(PO4)3 Based Solid Composite Electrolyte

YU Tao, HAN Yu*(), WANG Hui, XIONG Shizhao, XIE Kai, GUO Qingpeng   

  1. Department of Material Science and Engineering, College of Aerospace Science and Engineering, National University of Defense Technology, Changsha 410073, China
  • Received:2015-09-09 Online:2016-02-10 Published:2016-01-14
  • Contact: HAN Yu E-mail:yumihan1981@sina.com

摘要:

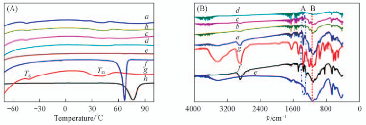
将聚氧化乙烯(PEO)和二(三氟甲基磺酰)亚胺锂(LiTFSI)混合(固定EO/Li摩尔比为13)后, 采用溶液浇注法制备了一系列不同Li1.5Al0.5Ge1.5(PO4)3(LAGP)与PEO质量比的LAGP-PEO(LiTFSI)固体复合电解质体系. 结合电化学阻抗法、 表面形貌表征以及与惰性陶瓷填料(SiO2, Al2O3) 性能的对比分析, 探讨了LAGP在固体复合电解质中的作用机理以及锂离子的导电行为. 结果表明, 在以LAGP为主相的固体复合电解质中, PEO主要处于无定形态, 整个体系主要为PEO与LiTFSI的络合相、 LAGP与PEO(LiTFSI)相互作用形成的过渡相和LAGP晶相. 其中LAGP作为主要的导电基体不仅起到降低PEO结晶度、 改善两相导电界面的作用; 同时自身也可以作为离子传输的通道, 降低锂离子迁移的活化能, 从而使离子电导率得到提高. 当LAGP与PEO的质量比为6:4时, 固体复合电解质的成膜性能最好, 离子电导率最高, 在30 ℃时为2.57×10-5 S/cm, 接近LAGP的水平, 电化学稳定窗口超过5 V.

关键词: 固体复合电解质, Li1.5Al0.5Ge1.5(PO4)3, 聚氧化乙烯, 离子电导率

Abstract:

LAGP-PEO(LiTFSI) solid composite electrolyte were prepared with Li1.5Al0.5Ge1.5(PO4)3(LAGP) and LiN(CF3SO2)2(LiTFSI) as conductive components and poly(ethylene oxide)(PEO) as the binder using solution casting method. The molar ratio of EO/Li was 13 when the ratio of PEO to LAGP was varied. The role of LAGP and the transport mechanism of Li-ion in solid composite electrolyte were analyzed using electrochemical impedance spectroscopy and morphology techniques. The results showed that LAGP partially interacted to PEO(LiTFSI) and uniformly distributed in the electrolyte. With the increase of LAGP content, amorphous regions of PEO rises up to a maximum value due to the coordination interactions between LAGP and PEO(LiTFSI). Three phases are generally present, namely a pure crystalline LAGP phase, all amorphous complexion PEO(LiTFSI) phase and a transition phase consisting of lithium salt particles and amorphous PEO(LiTFSI). The electrochemical impedance spectroscopy(EIS) showed that Li+ ions can go through the interface between ceramic particles and polymer. Compared with other ceramic fillers(SiO2, Al2O3), the addition of Li+conducting LAGP improves the ionic conductivity and electrochemical stability of PEO-based solid composite electrolyte. LAGP glass-ceramic improves solid composite electrolyte conductivity not only by enhancing the amorphous PEO phase, but also via its intrinsic conductivity. The highest ionic conductivity and the processability of LAGP-PEO(LiTFSI) solid electrolyte were obtained when the mass ratio of LAGP to PEO was fixed at 6:4. The optimal ionic conductivity can reach 2.57×10-5 S/cm at room temperature which is close to that of LAGP. In addition, LAGP-PEO(LiTFSI) solid composite electrolyte shows an enlarged electrochemical stability window(>5 V) in comparison to the PEO(LiTFSI) polymer electrolyte. Solid composite electrolyte based on LAGP-PEO(LiX) has a great prospect in application due to the combination of the fast ion conductor LAGP with high ionic conductivity and the PEO-based polymer electrolyte with good processability.

Key words: Solid composite electrolyte, Li1.5Al0.5Ge1.5(PO4)3(LAGP), Poly(ethylene oxide)(PEO), Ionic conductivity

中图分类号: 

TrendMD: