Chem. J. Chinese Universities ›› 2026, Vol. 47 ›› Issue (4): 20250403.doi: 10.7503/cjcu20250403
• Article • Previous Articles Next Articles
GE Shuyuan, FENG Zijun, CHENG Zhuang, LIU Futong, LU Ping(
)
Received:2025-12-29
Online:2026-04-10
Published:2026-01-21
Contact:
LU Ping
E-mail:lup@jlu.edu.cn
Supported by:CLC Number:
TrendMD:
GE Shuyuan, FENG Zijun, CHENG Zhuang, LIU Futong, LU Ping. Deep-blue Hot Exciton Material Based on Phenanthro[9,10]imidazole Derivative with CIE y <0.04[J]. Chem. J. Chinese Universities, 2026, 47(4): 20250403.
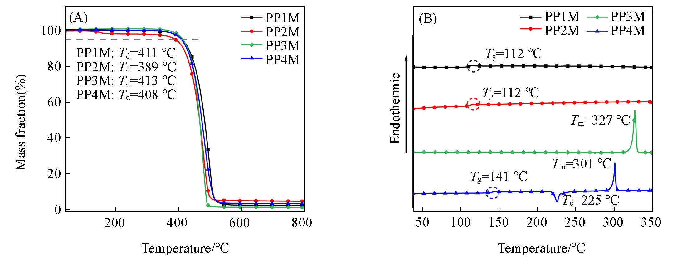
| Compound | Td/Tg/Tc/Tm/℃ | λPL/nm | FWHM | τ/ns | PLQY(%) | 10-8kr/(s-1) | HOMO/LUMO(eV) |
|---|---|---|---|---|---|---|---|
| Neat/doped | Neat/doped | Neat/doped | Neat/doped | Neat/doped | |||
| PP1M | 411/112/-/- | 438/402 | 84/57 | 2.56/1.78 | 72.7/81.1 | 2.84/4.56 | -5.50/-2.43 |
| PP2M | 389/112/-/- | 400/395 | 66/41 | 2.25/1.96 | 58.4/60.6 | 2.60/3.14 | -5.49/-2.53 |
| PP3M | 413/-/327/- | 439/400 | 77/50 | 1.67/1.66 | 85.3/86.3 | 5.11/5.20 | -5.48/-2.45 |
| PP4M | 408/141/225/301 | 401/393 | 68/38 | 2.21/1.93 | 20.7/9.0 | 0.94/0.74 | -5.51/-2.63 |
Table 1 Key thermal and photophysical properties of PP1M, PP2M, PP3M, and PP4M*
| Compound | Td/Tg/Tc/Tm/℃ | λPL/nm | FWHM | τ/ns | PLQY(%) | 10-8kr/(s-1) | HOMO/LUMO(eV) |
|---|---|---|---|---|---|---|---|
| Neat/doped | Neat/doped | Neat/doped | Neat/doped | Neat/doped | |||
| PP1M | 411/112/-/- | 438/402 | 84/57 | 2.56/1.78 | 72.7/81.1 | 2.84/4.56 | -5.50/-2.43 |
| PP2M | 389/112/-/- | 400/395 | 66/41 | 2.25/1.96 | 58.4/60.6 | 2.60/3.14 | -5.49/-2.53 |
| PP3M | 413/-/327/- | 439/400 | 77/50 | 1.67/1.66 | 85.3/86.3 | 5.11/5.20 | -5.48/-2.45 |
| PP4M | 408/141/225/301 | 401/393 | 68/38 | 2.21/1.93 | 20.7/9.0 | 0.94/0.74 | -5.51/-2.63 |
Fig.5 PL spectra of 20% doped(A) and non⁃doped(B) films based on PP1M, PP2M, PP3M, and PP4M and PL decays of 20% doped(C) and non⁃doped(D) films in CBP based on PP1M, PP2M, PP3M, and PP4M
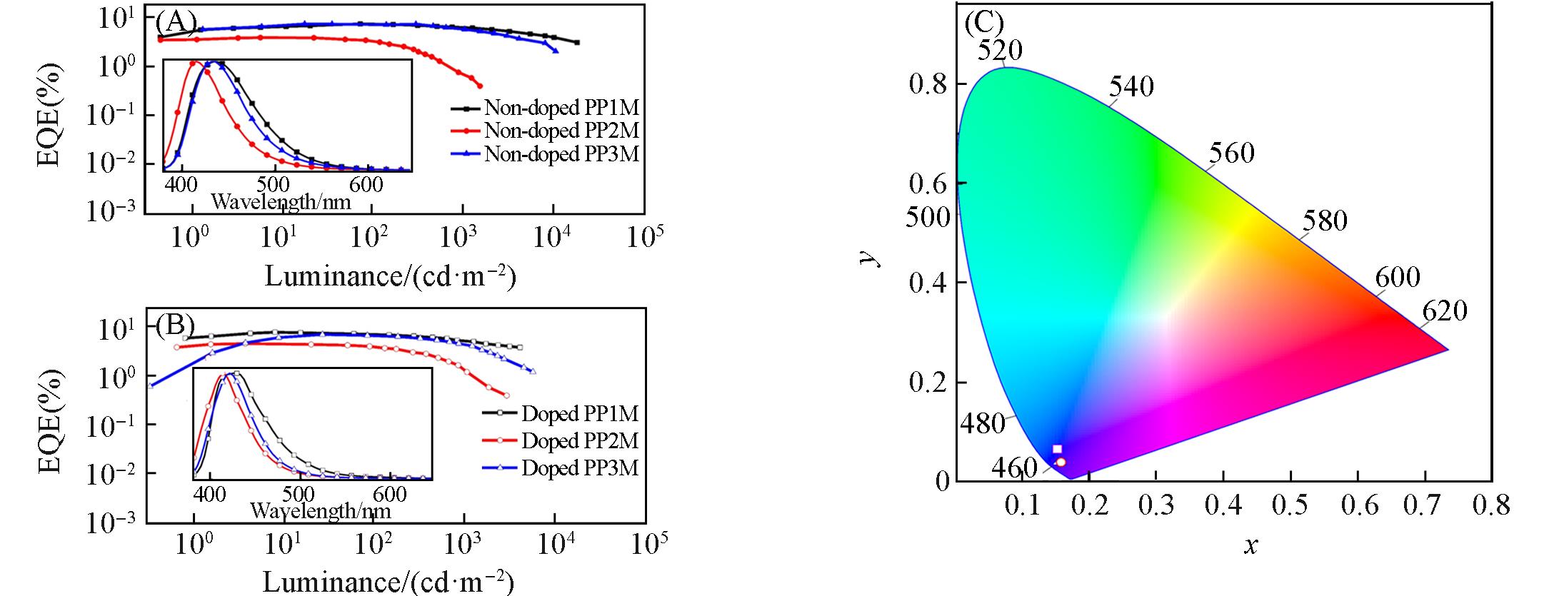
Fig.6 EQE versus luminance curves and normalized EL spectra(insets) of non⁃doped devices(A) and doped devices(B), and CIE coordinates of doped devices(C)
| Emissive layer | Von/V | Lmax/(cd·m-2) | CEmax/(cd·A-1) | PEmax/(lm·W-1) | EQE(%) | λEL/nm | CIE/(x, y) | FWHM/nm |
|---|---|---|---|---|---|---|---|---|
| PP1M | 3.1 | 18638 | 6.31 | 5.67 | 7.6/6.4 | 436 | (0.15, 0.10) | 78 |
| PP2M | 3.3 | 1564 | 1.63 | 1.47 | 4.0/0.8 | 416 | (0.16, 0.06) | 57 |
| PP3M | 3.0 | 10777 | 5.59 | 5.49 | 7.6/5.9 | 432 | (0.16, 0.08) | 62 |
| 20%PP1M∶CBP | 3.3 | 4343 | 4.71 | 4.23 | 8.0/5.3 | 428 | (0.16, 0.07) | 66 |
| 20%PP2M∶CBP | 3.3 | 3090 | 1.32 | 1.18 | 4.7/1.4 | 412 | (0.16, 0.04) | 52 |
| 20%PP3M∶CBP | 3.1 | 6030 | 2.85 | 2.42 | 7.2/4.7 | 420 | (0.16, 0.04) | 53 |
Table 2 EL performances of non-doped and doped devices based on PP1M, PP2M and PP3M*
| Emissive layer | Von/V | Lmax/(cd·m-2) | CEmax/(cd·A-1) | PEmax/(lm·W-1) | EQE(%) | λEL/nm | CIE/(x, y) | FWHM/nm |
|---|---|---|---|---|---|---|---|---|
| PP1M | 3.1 | 18638 | 6.31 | 5.67 | 7.6/6.4 | 436 | (0.15, 0.10) | 78 |
| PP2M | 3.3 | 1564 | 1.63 | 1.47 | 4.0/0.8 | 416 | (0.16, 0.06) | 57 |
| PP3M | 3.0 | 10777 | 5.59 | 5.49 | 7.6/5.9 | 432 | (0.16, 0.08) | 62 |
| 20%PP1M∶CBP | 3.3 | 4343 | 4.71 | 4.23 | 8.0/5.3 | 428 | (0.16, 0.07) | 66 |
| 20%PP2M∶CBP | 3.3 | 3090 | 1.32 | 1.18 | 4.7/1.4 | 412 | (0.16, 0.04) | 52 |
| 20%PP3M∶CBP | 3.1 | 6030 | 2.85 | 2.42 | 7.2/4.7 | 420 | (0.16, 0.04) | 53 |
| [1] | Tang C. W., VanSlyke S. A., Appl. Phys. Lett., 1987, 51(12), 913—915 |
| [2] | Baldo M., Thompson M. E., Forrest S., Nature., 2000, 403(6771), 750—753 |
| [3] | Zhen C. G., Chen Z. K., Liu Q. D., Dai Y. F., Shin R. Y. C., Chang S. Y., Kieffer J., Adv. Mater., 2009, 21(23), 2425—2429 |
| [4] | Jiang Z., Liu Z., Yang C., Zhong C., Qin J., Yu G., Liu Y., Adv. Funct. Mater., 2009, 19(24), 3987—3995 |
| [5] | Sun Z., Yin P., He S., Zhang K., Pan X., Wang J., Hao P., Zhou Z., Yang X., Ma L., Tan C., Chem. Res. Chin. Univ., 2025, 41(3), 519—524 |
| [6] | Lee H., Lee J., Lee J. I., Cho N. S., Elec., 2018, 7(9), 155 |
| [7] | Ochi J., Yamasaki Y., Oda S., Kondo M., Ikeno A., Kondo Y., Hatakeyama T., Adv. Opt. Mater., 2025, 13(23), 2402939 |
| [8] | Michalis M., Eur. J. Commun., 1999, 14(2), 147—171 |
| [9] | Lim H., Woo S. J., Ha Y. H., Kim Y. H., Kim J. J., Adv. Mater., 2022, 34(1), 2100161 |
| [10] | Du C., Liu H., Cheng Z., Zhang S., Qu Z., Yang D., Qiao X., Zhao Z., Lu P., Adv. Funct. Mater., 2023, 33, 2304854 |
| [11] | Wang Z. M., Feng Y., Li H., Song X. H., Lu P., Chem. J. Chinese Universities., 2014, 35(8), 1691—1696 |
| 王志明, 冯颖, 李辉, 宋晓慧, 路萍. 高等学校化学学报, 2014, 35(8), 1691—1696 | |
| [12] | Chen P., Zhang G., Li J., Ma L., Zhou J., Zhu M., Li S., Wang Z., Chem. Res. Chin. Univ., 2024, 40(2), 293—304 |
| [13] | Sugawara M., Choi S. Y., Wood D., IEEE. Signal. Proc. Mag., 2014, 31(3), 170—174 |
| [14] | Yang J., Lou J., Ni M.; Zhuo Z., Li H., An X., Sun N., Li M., Wang Z., Huang W., Chem. Eng. J., 2025, 524(15), 168961 |
| [15] | Wu G., Ge X., Yang Z., Liu Y., Chen Z., Wang Y., Li G., Guo D., Deng H., Zhao J., Chi Z., Chem. Eng. J., 2024, 497, 154 |
| [16] | Shang A., Zhao L., Li Z., Cheng Z., Jin H., Feng Z., Chen Z., Zhang H., Lu P., Chem. Res. Chin. Univ., 2022, 38(6), 1461—1466 |
| [17] | Feng C., Zhang K., Zhang B., Feng L., He L., Chen C. F., Li M., Angew. Chem. Int. Ed., 2025, 64(10), e202425094 |
| [18] | Xiong J., Wu M., Yao L. Y., Chem. Res. Chin. Univ., 2024, 40(5), 887—893 |
| [19] | Shahalizad A., Malinge A., Hu L., Laflamme G., Haeberlé L., Myers D. M., Mao J., Skene W. G., Kéna⁃Cohen S., Adv. Funct. Mater., 2021, 31(1), 2007119 |
| [20] | Xu J., Wang M., Chen J., Wu Z., Guo T., Tang B. Z., Zhao Z., Adv. Opt. Mater., 2024, 12(23), 2400739 |
| [21] | Kim H. M., Choi J. M., Lee J. Y., RSC. Adv., 2016, 6(6815), 64133 |
| [22] | Feng Z., Cheng Z., Su Z., Wan L., Ge S., Liu H., Ma X., Liu F., Lu P., Adv. Opt. Mater., 2024, 12, 2302839 |
| [23] | Xie F., Yang X., Jin P., Wang X. T., Ran H., Zhang H., Sun H., Su S. J., Hu J. Y., Adv. Opt. Mater., 2023, 11(4), 2202490 |
| [24] | Noda H., Chen X. K., Nakanotani H., Hosokai T., Miyajima M., Notsuka N., Kashima Y., Brédas J. L., Adachi C., Nat. Mater., 2019, 18(10), 1084—1090 |
| [25] | Gao S., Chen X., Ge X., Chen Z., Zhao J., Chi Z., Chem. Res. Chin. Univ., 2022, 38(6), 1526—1531 |
| [26] | Tsuchiya Y., Mizukoshi K., Saigo M., Ryu T., Kusuhara K., Miyata K., Onda K., Adachi C., Nat. Commun., 2025, 16(1), 4815 |
| [27] | Wang Z., Hu X., Yan Z., Liang J., Song X., Chen Q., Bi H., Wang Y., Adv. Sci., 2025, 12(9), 2410479 |
| [28] | Hatakeyama T., Shiren K., Nakajima K., Nomura S., Nakatsuka S., Kinoshita K., Ni J., Ono Y., Ikuta T., Adv. Mater., 2016, 28(14), 2777—2781 |
| [29] | Mamada M., Aoyama A., Uchida R., Ochi J., Oda S., Kondo Y., Kondo M., Hatakeyama T., Adv. Mater., 2024, 36(30), 2402905 |
| [30] | Ochi J., Yamasaki Y., Tanaka K., Kondo Y., Isayama K., Oda S., Kondo M., Hatakeyama T., Adv. Optical Mater., 2025, 13(14), e70128 |
| [31] | Ochi J., Yamasaki Y., Oda S., Kondo M., Ikeno A., Kondo Y., Hatakeyama T., Adv. Optical Mater., 2025, 13(23), e70128. |
| [32] | Li W., Liu D., Shen F., Ma D., Wang Z., Feng T., Xu Y., Yang B., Ma Y., Adv. Funct. Mater., 2012, 22(13), 2797—2803 |
| [33] | Xu Y., Xu P., Hu D., Ma Y., Chem. Soc. Rev., 2021, 50(2), 1030—1069 |
| [34] | Wang S., Qi H., Huang H., Li J., Liu Y., Xue S., Ying S., Shi C., Yan S., Mater. Chem. Front., 2025, 9(1), 55—64 |
| [35] | Chen R., Li S., Huang H., Tong X., Liu Y., Ren Z., Ying S., Liu L., Yan S., Chem. Sci., 2025, 16(35), 16304—16313 |
| [36] | Hu C. H., Sang Y., Yang Y. W., Chem, 2023, 9(10), 2997—3012 |
| [37] | Huh J. S., Ha Y. H., Kwon S. K., ACS Appl. Mater. Interfaces, 2020, 12(13), 15422—15429 |
| [38] | Obermann S., Zheng W., Melidonie J., Chem. Sci., 2023, 14, 8607—8614 |
| [39] | Lu T., Chen F., J. Comput. Chem., 2012, 33, 580—592 |
| [40] | Li J. Q., Huang F., Xie Y., Aggregate, 2025, 6(11), e70177 |
| [41] | Eisfeld A., Vlaming S. M., Malyshev V. A., Knoester J., Phys. Rev. Lett., 2010, 105, 137402 |
| [1] | ZHANG Jialing, WU Yuanyuan, ZHANG Man, TAO Zhengyu, TIAN Yongpan, ZHANG Qianfeng, TONG Bihai, HE Gufeng, KONG Hui. Dominoes Type Reaction of Spatially Close Diamides and Their Applications in Organic Synthesis [J]. Chem. J. Chinese Universities, 2023, 44(2): 20220597. |
| [2] | WANG Xiaojing, LIU Yixia, LI Yang, YANG Chenzong, FUNG Mankeung, FAN Jian. High-efficiency Near-infrared Thermally Activated Delayed Fluorescence Based on Tetracyano Acceptor [J]. Chem. J. Chinese Universities, 2023, 44(12): 20230274. |
| [3] | ZHOU Yonghui, HUANG Rujun, YAN Jianyang, LI Yajun, QIU Huanhuan, YANG Jinxuan, ZHENG Youxuan. Synthesis and Electroluminescence Properties of Two Iridium(Ⅲ) Complexes with Nitrogen Heterocycle Structures [J]. Chem. J. Chinese Universities, 2022, 43(1): 20210415. |
| [4] | LI Anran, ZHAO Bing, KAN Wei, SONG Tianshu, KONG Xiangdong, BU Fanqiang, SUN Li, YIN Guangming, WANG Liyan. ON-OFF-ON Double Colorimetric and Fluorescent Probes Based on Phenanthro[9,10-d]imidazole Derivatives and Their Living Cells Imaging [J]. Chem. J. Chinese Universities, 2021, 42(8): 2403. |
| [5] | WANG Kunhua, YAO Jisong, YANG Junnan, SONG Yonghui, LIU Yuying, YAO Hongbin. Synthesis and Device Optimization of Highly Efficient Metal Halide Perovskite Light-emitting Diodes [J]. Chem. J. Chinese Universities, 2021, 42(5): 1464. |
| [6] | LIU Yulong, LU Fang, LU Ping. Design, Synthesis and Electroluminescence of Organic Conjugated Compounds Based on Pyrene-imidazole† [J]. Chem. J. Chinese Universities, 2017, 38(4): 583. |
| [7] | WU Xiaoyan, LIU Linlin, XIE Zengqi, MA Yuguang. Advance in Metal-based Nanoparticles for the Enhanced Performance of Organic Optoelectronics Devices† [J]. Chem. J. Chinese Universities, 2016, 37(3): 409. |
| [8] | CHEN Dong, ZHANG Xueqiang, ZHANG Jingying, WANG Yue. Synthesis, Characterizations and Electroluminescent Properties of Luminescent Diphenylamino Substituted Acridine Derivatives† [J]. Chem. J. Chinese Universities, 2015, 36(3): 484. |
| [9] | LI Weijun, GAO Zhao, WANG Zhiming, YANG Bing, LU Ping, MA Yuguang. Highly Efficient Blue Electroluminescent Materials Based on Phenanthro[9,10-d]imidazole† [J]. Chem. J. Chinese Universities, 2014, 35(9): 1849. |
| [10] | HAN Juan, SHEN Lin, FANG Wei-Hai. Calculations of Energy Transfer Rate Based on the Electronic Structure Theory [J]. Chem. J. Chinese Universities, 2012, 33(10): 2275. |
| [11] | SUN Yi-Fu, YE Ling, YE Kai-Qi. Electroluminescent Property of a Beryllium Metal-chelate Complex Used as the Electron-transporting Host Material [J]. Chem. J. Chinese Universities, 2012, 33(08): 1714. |
| [12] | YANG Gui-Xia, HUANG Zong-Hao*, YANG Pei-Pei, XIN Yi, JIANG Zi-Jiang, ....... Theoretical Studies on the Structural and Optoelectronic Properties of F-Substituted Silole Derivatives [J]. Chem. J. Chinese Universities, 2009, 30(11): 2274. |
| [13] | DING Hong-Liu, ZHAO Ting, SHI Guo-Yue, JIN Li-Tong*. Preparation and Electroluminescence Property of a Non-doping OLED Based on Zn(Q-Ph)2 and DCJTB [J]. Chem. J. Chinese Universities, 2008, 29(8): 1598. |
| [14] | YUAN Ji-Bing, LI Jia-Hang, Liang Wan-li, Su Shu-jiang, YAO Jun-Hua, GONG Meng-Lian . Synthesis and Electroluminescence of a Novel Eu(Ⅲ) Ternary Complex [J]. Chem. J. Chinese Universities, 2005, 26(10): 1787. |
| Viewed | ||||||
|
Full text |
|
|||||
|
Abstract |
|
|||||