石墨烯限域调控Fe原子的电子性质和CO活化机理 |
| 罗丹, 王建欣, 路宽, 王敏, 畅通 |
|
Electronic Properties and CO Activation Mechanism of Fe Atom Modulated by Graphene Confinement |
| LUO Dan, WANG Jianxin, LU Kuan, WANG Min, CHANG Tong |
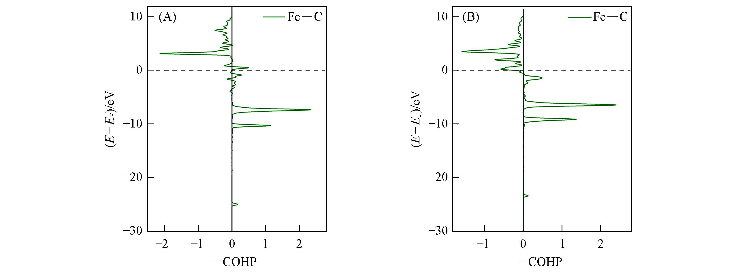
| Fig.9 -COHP of FeC@graphene⁃CO(A) and Fe2C@graphene⁃CO(B) |
|