H3PO4质子化改性的g-C3N4及其光催化产H2O2性能 |
| 郑娜, 聂丽君, 高宇航, 薛坤坤, 韩晓蓓, 马跃宇, 任丽蓉, 苏王潮, 石建惠 |
|
H3PO4 Protonation-modified g-C3N4 and Its Photocatalytic H2O2 Production Properties |
| ZHENG Na, NIE Lijun, GAO Yuhang, XUE Kunkun, HAN Xiaobei, MA Yueyu, REN Lirong, SU Wangchao, SHI Jianhui |
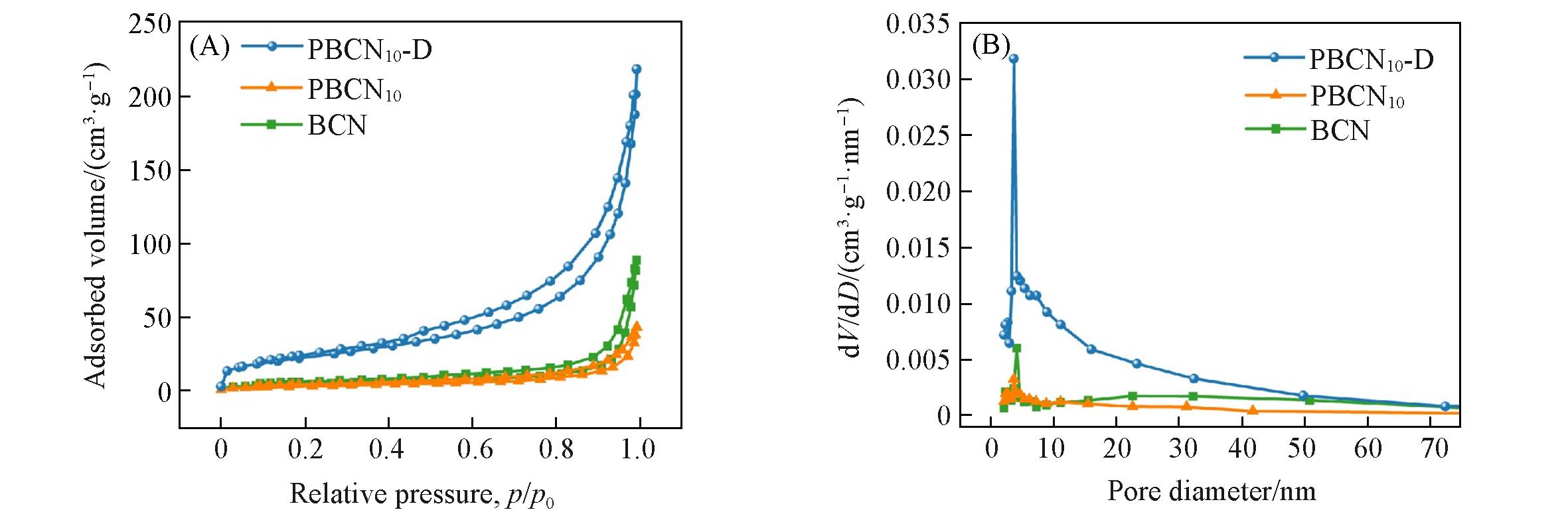
| Fig.5 N2 adsorption⁃desorption curves(A) and pore size distributions(B) of the BCN, PBCN10 and PBCN10⁃D |
|