电沉积NiCu合金锚定Co2P纳米线调控电子结构增强的析氢反应 |
| 刘文欢, 王康康, 窦嘉阳, 张彤琛, 董社英 |
|
Electrodeposited NiCu Alloy Anchored Co2P Nanowires Enhancing Hydrogen Evolution Reaction by Modulating Electronic Structure |
| LIU Wenhuan, WANG Kangkang, DOU Jiayang, ZHANG Tongchen, DONG Sheying |
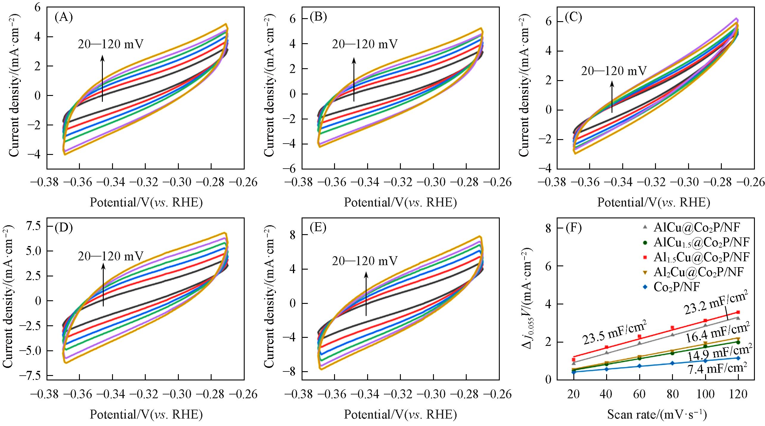
| Fig.7 CV plots of AlCu@Co2P/NF(A), Al2Cu@Co2P/NF(B), Co2P/NF(C), AlCu1.5@Co2P/NF(D) and Al1.5Cu@Co2P/NF(E) with different sweep speeds in the voltage range of -0.27—-0.37 V and corresponding Cdl(F) in 0.5 mol/L H2SO4 |
|