电沉积NiCu合金锚定Co2P纳米线调控电子结构增强的析氢反应 |
| 刘文欢, 王康康, 窦嘉阳, 张彤琛, 董社英 |
|
Electrodeposited NiCu Alloy Anchored Co2P Nanowires Enhancing Hydrogen Evolution Reaction by Modulating Electronic Structure |
| LIU Wenhuan, WANG Kangkang, DOU Jiayang, ZHANG Tongchen, DONG Sheying |
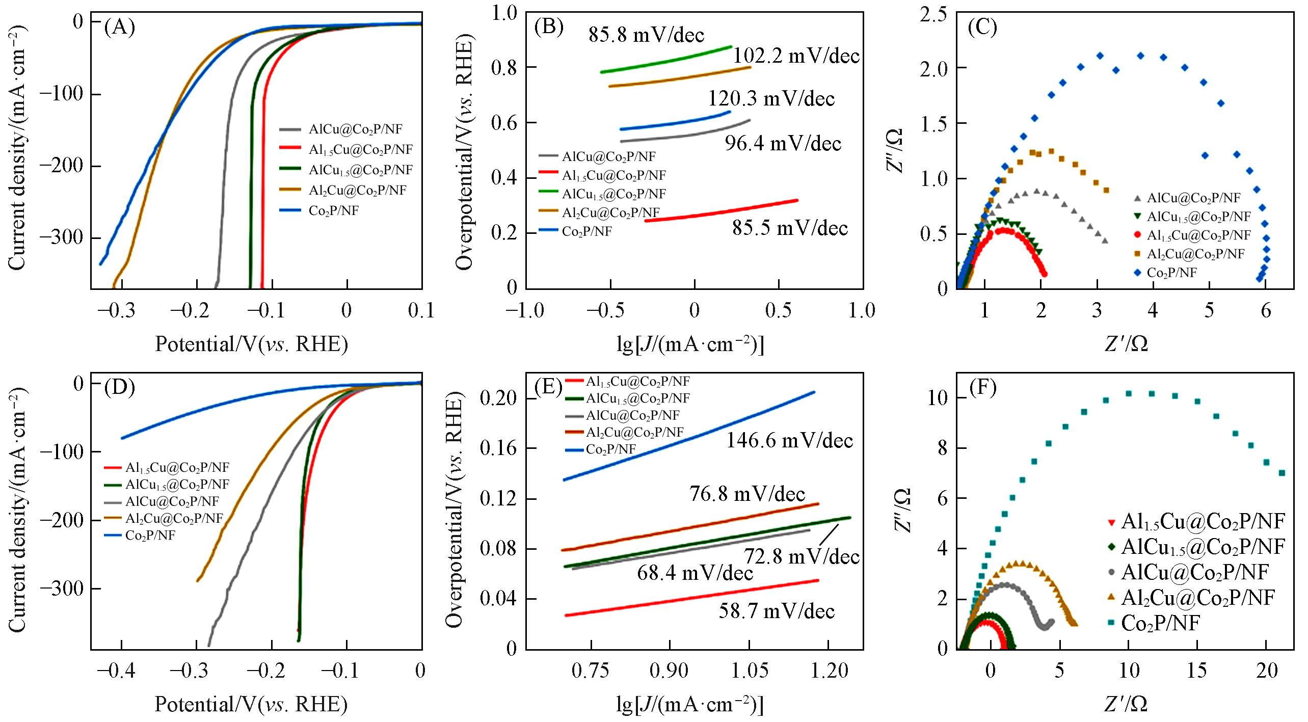
| Fig.6 LSV curves(A, D), corresponding Tafel plots(B, E) and electrochemical impedance spectra(C, F) of different catalysts at an overpotential of 100 mV of catalysts in 1 mol/L KOH alkaline electrolyte saturated with N2(A—C) and 0.5 mol/L H2SO4 acidic electrolyte(D—F) |
|