L沸石晶间转化快速合成SSZ-13沸石及其中空结构形成机理 |
| 张宗洋, 李玉平, 张若茜, 刘宇峰, 陈泽, 韩丽娜, 韩培德 |
|
Rapid Synthesis of SSZ-13 Zeolite via Interzeolite Transformation of L Zeolite and Formation Mechanism of Its Hollow Structure |
| ZHANG Zongyang, LI Yuping, ZHANG Ruoxi, LIU Yufeng, CHEN Ze, HAN Lina, HAN Peide |
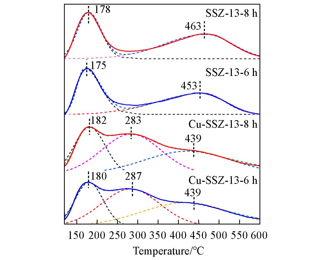
| Fig.11 NH3 temperature⁃programmed desorption(NH3⁃TPD) profiles of SSZ⁃13⁃6 h, SSZ⁃13⁃8 h, Cu⁃SSZ⁃13⁃6 h and Cu⁃SSZ⁃13⁃8 h samples |
|