L沸石晶间转化快速合成SSZ-13沸石及其中空结构形成机理 |
| 张宗洋, 李玉平, 张若茜, 刘宇峰, 陈泽, 韩丽娜, 韩培德 |
|
Rapid Synthesis of SSZ-13 Zeolite via Interzeolite Transformation of L Zeolite and Formation Mechanism of Its Hollow Structure |
| ZHANG Zongyang, LI Yuping, ZHANG Ruoxi, LIU Yufeng, CHEN Ze, HAN Lina, HAN Peide |
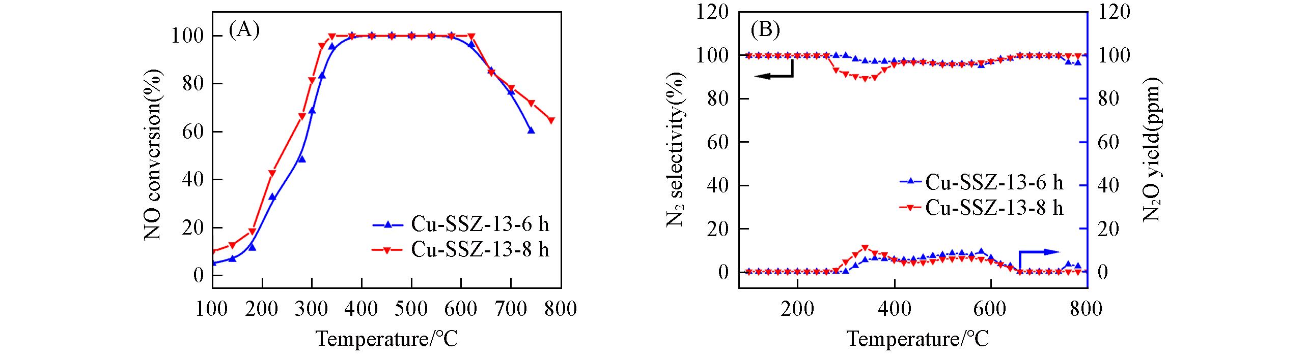
| Fig.9 NO conversion(A) and N2 selectivity and N2O yield(B)over Cu⁃SSZ⁃13⁃6 h and Cu⁃SSZ⁃13⁃8 h Reaction conditions: 0.05%(volume fraction) of NH3, 0.05%(volume fraction) of NO, 10% O2 and balanced by Ar, total gas flow rate 200 mL/min, GHSV=8×104 h‒1. 1 ppm=1 μL/L. |
|