多孔骨架固定分子催化剂催化CO2加氢制备甲酸研究进展
丁杨, 王万辉, 包明

Recent Progress in Porous Framework-immobilized Molecular Catalysts for CO2 Hydrogenation to Formic Acid
DING Yang, WANG Wanhui, BAO Ming
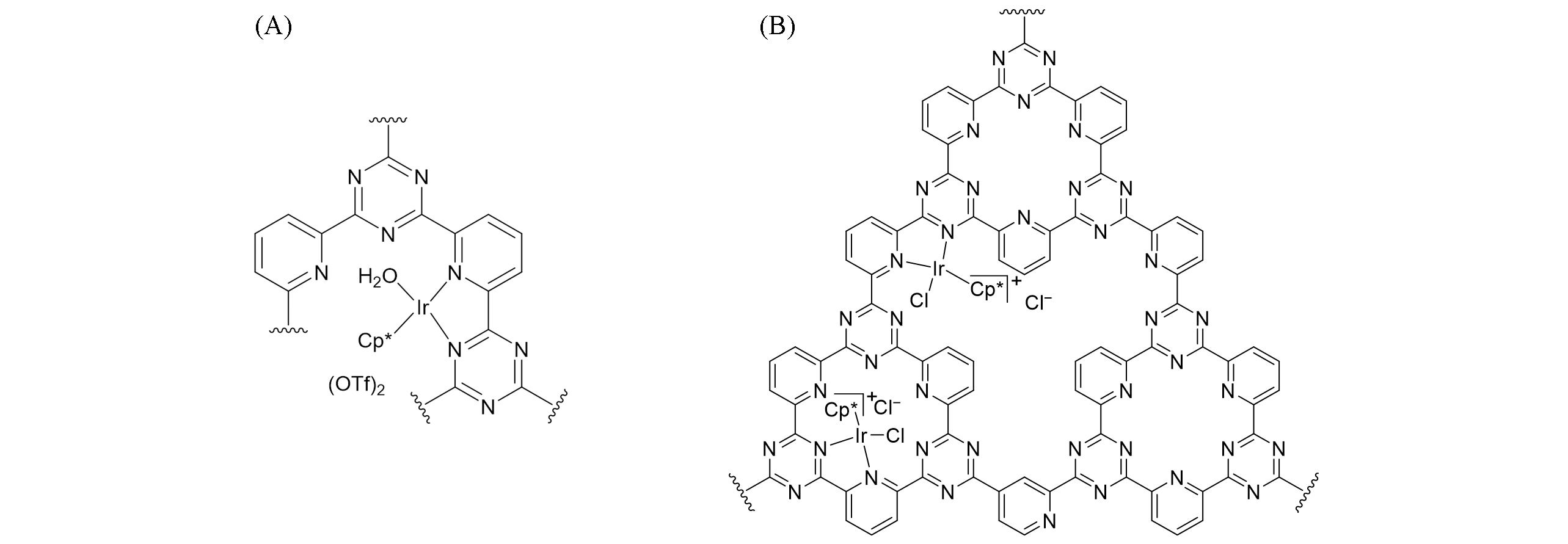
Fig.5 Structures of CTF⁃based sphere Ir catalyst[35](A)and Ir⁃CTF[36](B)
(A) Copyright 2016, Wiley-VCH;(B) Copyright 2019, Wiley-VCH.