多孔骨架固定分子催化剂催化CO2加氢制备甲酸研究进展
丁杨, 王万辉, 包明

Recent Progress in Porous Framework-immobilized Molecular Catalysts for CO2 Hydrogenation to Formic Acid
DING Yang, WANG Wanhui, BAO Ming
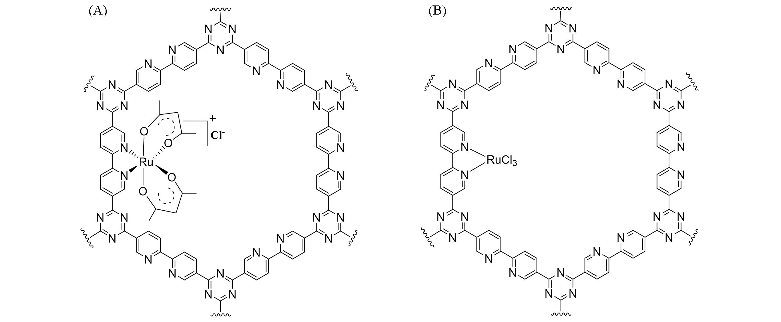
Fig.4 Structures of [bpy⁃CTF⁃Ru(acac)2]Cl[33](A)and [bpy⁃CTF⁃RuCl3][34](B)
(A) Copyright 2018, American Chemical Society;(B) Copyright 2019, American Chemical Society.