多孔骨架固定分子催化剂催化CO2加氢制备甲酸研究进展 |
| 丁杨, 王万辉, 包明 |
|
Recent Progress in Porous Framework-immobilized Molecular Catalysts for CO2 Hydrogenation to Formic Acid |
| DING Yang, WANG Wanhui, BAO Ming |
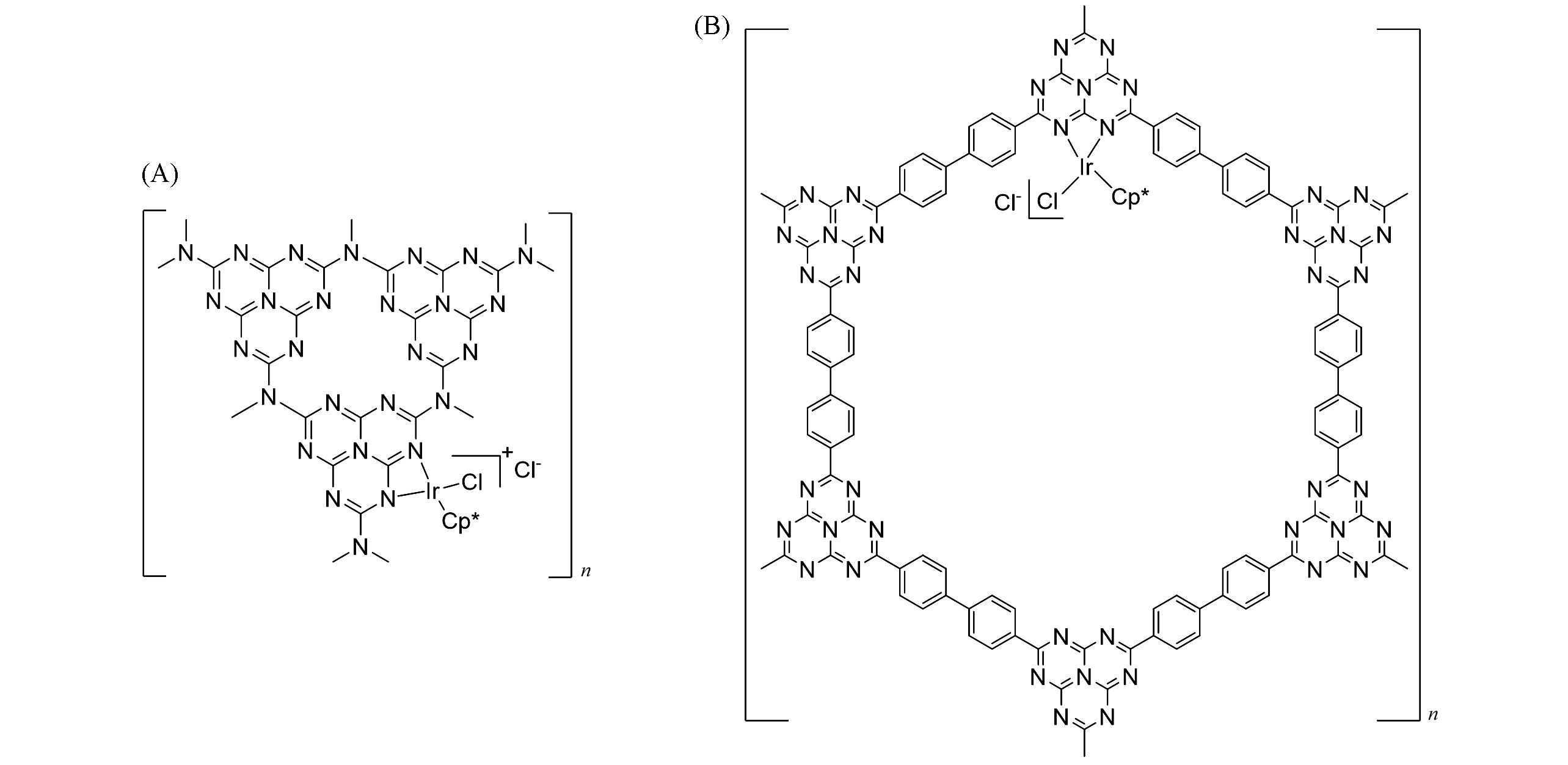
| Fig.3 Structures of Ir⁃C3N4(A) and heptazine⁃based COF containing Ir(III) complexes(B)[ Copyright 2016, Elsevier. |
|