辐照交联制备低分子量聚丙烯腈纤维锂硫电池正极材料及其储硫机理 |
| 张诗昱, 何润合, 李永兵, 魏士俊, 张兴祥 |
|
Fabrication of Lithium-sulfur Battery Cathode with Radiation Crosslinked Low Molecular Weight of Polyacrylonitrile and the Mechanism of Sulfur Storage |
| ZHANG Shiyu, HE Runhe, LI Yongbing, WEI Shijun, ZHANG Xingxiang |
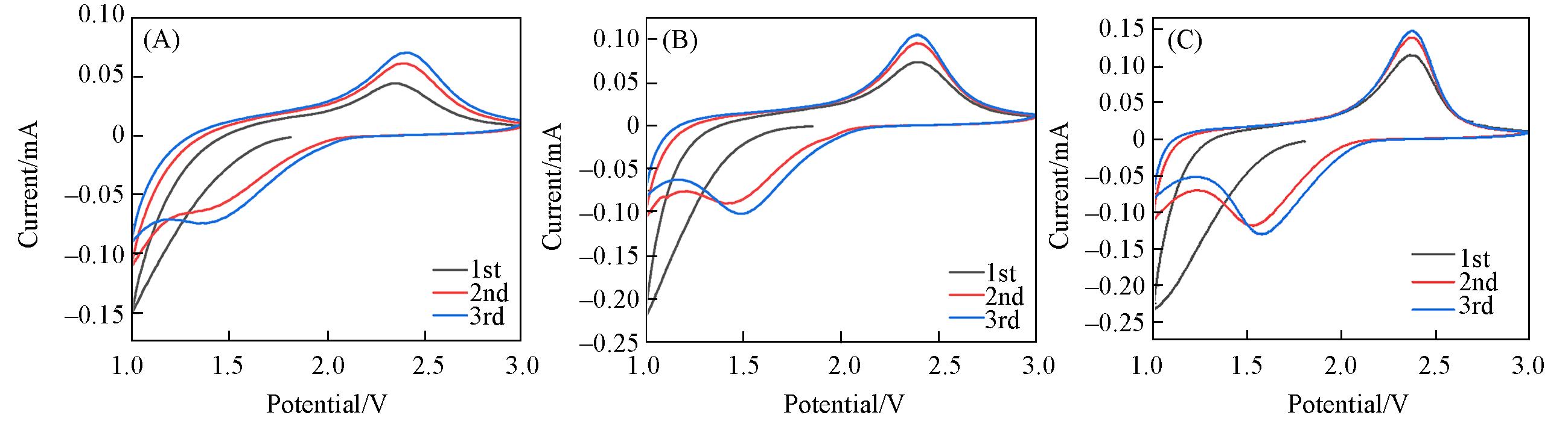
| Fig.11 CV curves of the SPAN cathode with different cross?linking degrees (A) SPAN; (B) SPAN?IR200; (C) SPAN?IR300. |
|