水溶性香豆素荧光底物的制备及在液滴数字式检测中的应用 |
| 匡小军, 伊京伟, 方晓霞, 赖东梅, 徐宏 |
|
Preparation of Water-soluble Coumarin Fluorescent Substrate and Its Application in Droplet Based Digital Detection |
| KUANG Xiaojun, YI Jingwei, FANG Xiaoxia, LAI Dongmei, XU Hong |
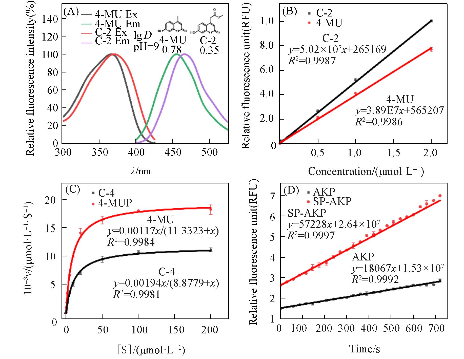
| Fig.1 Basic property characterization of 4?MU, C?2, 4?MUP, C?4 and SP?AKP (A) The fluorescence spectra and partition coefficients(lg D) of 4?MU and C?2; (B) the fluorescence intensity standard curves of 4?MU and C?2; (C) the Michaelis?Menten equation of corresponding substrate C?4 and 4?MUP; (D) the catalytic activity comparison of AKP and SP?AKP. The concentrations of AKP and SP?AKP are 1×10-6 mg/mL and 12.17×10-6 mg/mL, respectively. |
|