联系人简介: 张灵志, 男, 博士, 研究员, 博士生导师, 主要从事有机光电材料和纳米材料方面的研究. E-mail: lzzhang@ms.giec.ac.cn
合成了一种腈基功能化有机硅化合物3-氰乙基-二乙氧基-甲基硅烷(DESCN), 并对其化学结构和电化学窗口进行了表征. 采用恒流充放电、 扫描电子显微镜(SEM)、 X射线光电子能谱(XPS)及电化学阻抗谱(EIS)等方法研究了DESCN添加剂对LiFePO4电池低温性能的影响. 结果表明, DESCN化合物能够在电极表面参与形成更薄、 更均匀且致密的固体电解质界面(SEI)膜, 抑制电解液副反应的发生, 减小界面膜阻抗, 有利于低温下电极/电解液界面的Li+扩散和电荷转移, 从而提高LiFePO4电池的低温性能.
A nitrile group functionalized organosilicon compound, 3-(diethoxy-methyl-silanyl)-propionitrile(DESCN) was synthesized and its chemical structure and electrochemical window were characterized. The effects of DESCN on the low-temperature performance of LiFePO4 cell were investigated by charge-discharge cycling test, scanning electron microscopy(SEM), X-ray photoelectron spectroscopy(XPS) and electrochemical impedance spectroscopy(EIS) and so on. It is revealed that adding 2%DESCN could improve the low-temperature performance of LiFePO4 cell. At -20 ℃, the cell exhibits a high discharge capacity of 73 mA·h/g and are stable after 50 cycles. DESCN involved in the formation of stable solid electrolyte interface(SEI) film to inhibit electrolyte decomposition and decrease the battery resistance, which facilitate Li+ diffusion and electron transportation at electrode/electrolyte interface at low-temperature.
锂离子电池(LIBs)是非常有前途的能源存储设备, 已在手机、 笔记本电脑、 电动汽车(EVs)、 混合动力汽车(HEVs)以及航空航天设备等许多领域得到应用[1]. 然而, 在低温环境下, 锂离子电池电解液会发生固化, 充放电性能大幅降低, 电池内部极化严重, 存在内部短路和爆炸的风险, 这严重限制了锂离子电池在寒冷地区及一些地方冬季的应用, 尤其是在电动汽车和航空航天领域的开发应用[2]. 因此, 研究改善锂离子电池的低温性能具有重要意义.
目前, 改善锂离子电池低温性能的方法主要包括通过涂层、 掺杂及结构改性提高电极的导电性[3, 4, 5]、 添加导电剂[6]及改善电解液低温性能等[7, 8, 9, 10]. 在电池体系中, Li+的传输过程主要包括电解液中的传输、 固体电解质界面(SEI)膜的传输以及在电极材料中的扩散. 低温阻碍了Li+在充放电过程的传输和扩散速率. 因此, 对电解液的低温改性是提高锂离子电池低温性能的主要途径, 包括提高电解液的离子导电性、 降低SEI 膜阻抗、 提高锂离子在SEI 膜界面的传输速率等.
使用电解液添加剂被认为是改善界面性能、 提高电池循环稳定性的一种经济有效的方法. 在低温电解液的研究中, 添加剂的应用也是研究热点. 目前使用的低温添加剂主要有有机亚硫酸酯类(如亚硫酸丙烯酯、 二甲基亚硫酸酯、 亚硫酸乙烯酯和二乙基亚硫酸酯等)[11]、 碳酸酯类(如碳酸亚乙烯酯、 碳酸乙烯亚乙酯和氟代碳酸乙烯酯等)[12, 13]及锂盐类(如二氟草酸硼酸锂、 碳酸锂和锂改性二氧化硅纳米盐等)[14, 15]. 另外, 丁磺酸内酯和聚二甲硅氧烷的应用也可以提高电池的低温放电容量[16, 17].
有机硅化合物具有优良的热稳定性和低温离子传导性, 且电导率高, 对环境友好, 结构灵活可控, 因此成为新型添加剂的研究热点[18]. 我们课题组[19, 20, 21, 22, 23]在有机硅电解液添加剂(如吸酸添加剂, 阻燃添加剂, 防过充保护剂, 成膜添加剂等)方面开展了大量的研究工作. 合成的含有腈基(— CN)和环氧乙烷取代基的系列化合物, 如[2-氰乙基-二(2-甲氧基乙氧基)乙氧基]甲基硅烷、 3-丙基腈-甲氧基乙氧基-二甲基硅烷及3-丙基腈-[2-(2-甲氧基乙氧基)乙氧基]二甲基硅烷等具有高介电常数和高氧化电位, 在石墨负极材料上展现出优异的成膜性能及高压循环稳定性[24]. 但目前还没有关于有机硅-腈化合物用于低温电解液添加剂方面的研究.
本文将合成的一种腈基功能化有机硅化合物(DESCN)作为低温电解液添加剂, 测试了磷酸铁锂电池的低温性能, 并对电极/电解液界面进行了表征分析.
1 mol/L LiPF6的碳酸乙烯酯(EC)-碳酸丙烯酯(PC)-碳酸甲乙酯(EMC)(体积比为1∶ 1∶ 1) 溶液(基础电解液, 电池级, 上海枭源能源科技有限公司); N-甲基吡咯烷酮(NMP, 纯度99.5%, 上海阿拉丁试剂有限公司); 磷酸铁锂(LiFePO4, 电池级, 深圳德方纳米科技有限公司); 乙炔黑导电剂和聚偏氟乙烯(PVDF)黏结剂(电池级, 深圳微锋电子公司); 锂片(电池级, 天津中能锂业有限公司); 隔膜(Celgard 2400, 深圳市科晶智达科技有限公司).
手套箱[Super(1220/750), 上海米开罗那机电技术有限公司]; 扫描电子显微镜(SEM, S-4800, 日本Hitachi 公司); X射线光电子能谱仪(XPS, ESCALAB250, 美国Thermofisher Scientific 公司); 电化学工作站(IM6, 德国Zahner公司); 电池充放电测试仪(BTS-610, 深圳市新威尔电子有限公司).
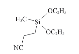
1.2.1 DESCN的合成 化合物3-氰乙基-二乙氧基-甲基硅烷(DESCN)的制备方法参见文献[24]. 通过硅氢烷的硅氢化反应和氯硅烷的醚化反应两步制得, 合成的产物通过减压蒸馏纯化, 其结构式和物理化学性能见图1和表1.
| Table 1 Physical and chemical properties of DESCN compound |
1.2.2 电极片的制备和电池组装 LiFePO4电极片的制备: 将LiFePO4、 PVDF和乙炔黑按质量比90∶ 5∶ 5混合均匀, 添加一定量的NMP溶剂, 将混合物球磨成均匀的浆液后涂在铝箔上, 然后在真空干燥箱内于110 ℃下烘干12 h, 再用辊压机压平, 得到电极片.
电池组装: 在Ar气保护手套箱内, 以LiFePO4电极片为正极, 金属锂片为负极, Celgard 2400膜为隔膜, 采用基础电解液和添加2%(体积分数)DESCN的电解液分别组装成CR2025型扣式半电池.
1.2.3 电化学性能表征 电池充放电性能测试在BTS-610充放电测试仪上完成. 为了保持电池的一致性, 电池在低温测试以前均按照以下方法测试: (1) 扣式电池首先在室温[(25± 2) ℃]下以0.2C(1C=170 mA· h/g)倍率进行充放电循环3次; (2) 将扣式电池在室温下以0.2C倍率充电至4.2 V; (3) 上述扣式电池在低温(-20 ℃)下保存4 h后, 进行放电测试或循环测试. 交流阻抗测试在ZAHNER IM6电化学工作站上进行. 采用的交流信号频率范围为0.01 Hz~100 kHz, 交流信号振幅为5 mV, 并利用Zview 软件拟合得到相关的动力学参数.
循环后的正极材料使用扫描电子显微镜观察电极表面形貌, 采用附带的能量散射光谱仪(EDS)分析表面SEI膜元素组成. 电极表面XPS元素分析使用ESCALAB250 X射线光电子能谱仪, 以Al K(1486.6 eV)作为X射线光源, 阳极电压为15 keV.
图2为使用基础电解液未添加和添加2%DESCN电解液的LiFePO4/Li 电池分别在25 ℃(A)和-20 ℃(B)下的充放电曲线. 由图2可知, 在25 ℃下, 两组电池的充放电曲线十分相似, 使用未添加DESCN和添加2%DESCN电解液的电池首次放电比容量分别为151.6 mA· h/g和149.6 mA· h/g; 而在-20 ℃下, 含有2%DESCN的电池则表现出更高的放电电压平台和放电比容量, 电池具有较小的极化, 使用未添加DESCN和添加2%DESCN电解液的电池, 放电比容量分别为54 mA· h/g和73 mA· h/g.
图3为未添加DESCN和添加2%DESCN的LiFePO4/Li 电池分别在25 ℃(A)和-20 ℃(B)下的循环曲线. 在25 ℃, 经过50次循环, 两组电解液的电池都循环稳定, 放电比容量接近约150 mA· h/g, 库仑效率大于99%. 当温度下降为-20 ℃时, 使用含2%DESCN电解液的电池容量得到了明显的提高, 放电比容量约为73 mA· h/g, 而使用未添加DESCN 电解液的电池放电比容量仅有58 mA· h/g. 两组电池的循环稳定性和库仑效率都较好, 这与LiFePO4材料的稳定性和循环次数少有关. 结果表明, 添加DESCN有利于提高电池低温性能.
通过对比不同温度下的微分容量-电压(dQ/dV)曲线(图4)分析DESCN在低温下对电池性能提高的原因. 在25 ℃时, 使用两组电解液时电极的氧化/还原峰基本重合, 表现出良好的对称性, 氧化峰位约为3.48 V, 还原峰位约为3.38 V, 电位差约为0.1 V. 当温度下降为-20 ℃, 使用两组电解液的电池对应的dQ/dV曲线抖动严重, 这主要是因为低温下离子传输速率大大降低, 对应同等室温电流密度时, dQ/dV曲线对应的单位电压范围的容量变化不稳定所致[25]. 通过电位差和峰值强度还可以明显看到, 电解液中不含有DESCN时, 氧化还原峰强度明显降低, 峰位差增大, 表现为电池容量低. 而当电解液中含有2%DESCN时, 氧化还原峰具有更高的强度和较小的峰位差, 因此电池表现出更好的充放电性能. 对比分析表明添加DESCN提高了电极的离子导电性, 降低了电池在低温循环时的极化, 提高了充放电可逆性及锂离子传输动力学性能[26].
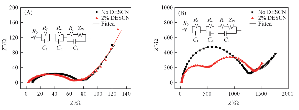
为了确定DESCN能够改善LiPFeO4/Li 电池低温性能, 测试了LiPFeO4/Li 电池分别在25和-20 ℃下循环后的电化学阻抗谱(EIS), 结果如图5所示. EIS的Nyquist曲线由3部分组成, 即高频区域半圆(HFA)、 中频区域半圆(MFA)和低频区域的斜线, 阻抗值由等效电路拟合(图5插图)[27]. 其中, R0代表电解液的电阻, Rf和Rc分别为SEI膜阻抗和电荷转移阻抗, Cf和Cd是相对应的电容, Ri和Ci表示电子电阻和相关电容, ZW表示Warburg 扩散阻抗. 在25 ℃时[图5(A)], 首次循环后电解液添加2%DESCN的电池比电解液未添加DESCN的电池具有更小的R0(2.72 vs. 8.76 Ω )和Rf(15.36 vs. 20.46 Ω ), 表明添加DESCN有利于减小电池内部极化, 在首次循环后改善电极表面SEI膜的形成. 在-20 ℃时[图5(B)], 使用两组电解液的电池循环后阻抗均明显增大, 电解液添加2%DESCN的电池相对电解液未添加DESCN电池的低温反应电阻减小, 电池阻抗降低, 与循环性能测试中电池放电比容量提高结果一致, 表明添加DESCN可以有效降低电极的极化, 改善SEI膜性能, 提高锂离子在电极/电解液界面的传输速率.
图6为LiFePO4电极低温循环后的SEM照片. 电极循环之前的形貌如图6(A)所示, LiFePO4呈不规则形状的纳米级颗粒, 表面光滑. 低温循环后, 在未添加DESCN和添加2%DESCN的电解液中循环的电极颗粒表面均包覆了一层膜, 但电解液未添加DESCN的电池的极片颗粒表面包覆层不均匀, 有不规则层状凸起, 如图6(B); 而电解液添加2%DESCN的电池的极片颗粒表面包覆膜层均匀且光滑, 如图6(C). 表明添加DESCN可改善电极表面的SEI膜.
| Fig.6 SEM images of surface morphology of LiFePO4 electrode(A) Original; (B) cycled in electrolyte without DESCN at -20 ℃; (C) cycled in electrolyte with 2% DESCN at -20 ℃. |
此外, 采用EDS对电极表面扫描发现, 对比电解液未添加DESCN的电池, 电解液添加2%DESCN的电池电极表面的氧、 磷和铁元素峰强度明显降低(图7), 表明电极表面被SEI膜均匀包覆, 有更少的LiFePO4颗粒露出. 从表2的表面元素含量可见, 电解液添加2%DESCN的电池电极表面碳、 氧元素相对含量较低, 可能是由于DESCN在电极表面形成均匀且致密的SEI膜, 抑制了电解液副反应发生(如碳酸酯溶剂的分解反应)[28], 减少了烷基锂和碳酸锂等反应产物的含量. 另外, 电解液未添加DESCN的电池电极循环后表面的磷和铁元素的含量明显降低, 表明形成的SEM膜更厚且不均匀, 所以活性物质元素含量低; 而电解液添加DESCN的电池电极表面的磷和铁元素含量与循环前接近, 表明DESCN化合物在电极表面形成的SEI膜更薄更均匀.
| Table 2 Element contents of the electrode surface |
对低温循环后的电极表面进行XPS光谱测定. 由图8可见, 电解液添加DESCN的电池电极表面检测到DESCN中的Si元素和— CN键中的N元素, 表明DESCN化合物参与电极表面SEI膜的形成. 图9中C1s谱图中电解液未添加DESCN和添加2%DESCN的电池低温循环后电极表面有明显不同. 在284.4 eV处的强峰是C的特征峰, 在285.9和288.9 eV处的峰分别对应于C— O和C≡ O, 主要来自烷基锂和聚碳酸酯[29], 而290.5 eV处的峰与Li2CO3相关[30]. 电解液未添加DESCN的电池电极表面的Li2CO3峰的相对含量为3.32%, 而电解液添加2%DESCN的电池电极表面的Li2CO3相对含量明显减少, 为1.96%, Li2CO3主要是碳酸酯溶剂分解的反应产物, 是SEI膜中的不稳定组成, 与前面SEM和EDS的测试结果一致, 表明DESCN参与形成的SEI膜更稳定. O1s XPS谱图中的峰主要对应于锂的氧化物LiFePO4(531.4 eV)[31]和聚碳酸酯和碳酸锂盐中的C≡ O键(533~533.5 eV)和C— O键(533~534 eV). 电解液未添加DESCN的电池电极表面LiFePO4的相对含量为36.12%, 比电解液添加2%DESCN的电池电极表面LiFePO4相对含量(19.47%)更高; 而前者的C≡ O键和C— O键相对含量分别为3.71%和3.81%, 也比后者的3.52%和2.79%更高, 表明添加DESCN形成的SEI膜更均匀地覆盖在电极表面, 并且可抑制电解液的分解. XPS和SEM结果表明添加剂DESCN有助于在LiFePO4电极表面形成更薄、 更稳定、 更均匀、 更导电的SEI膜, 从而改善电池的低温性能.
| Fig.8 N1s(A) and Si2p(B) XPS spectra of LiFePO4 electrodes cycled in the electrolyte containing 2%DESCN |
合成了一种腈基功能化有机硅化合物DESCN并研究了其作为电解液添加剂对LiFePO4电极低温性能的影响. 结果表明, 在基础电解液中添加2%DESCN能明显改善LiFePO4电极的低温性能, 在-20 ℃下, 放电比容量提高(73 mA· h/g), 50次循环稳定, 库仑效率大于99%. 原因是DESCN化合物能够在电极表面参与形成更薄、 均匀且致密的SEI膜, 抑制电解液副反应的发生, 减小界面膜阻抗和充放电过程的电位差极化, 从而提高锂离子的传输速率. DESCN作为锂离子电池低温电解液添加剂具有较好的应用前景.
| [1] |
|
| [2] |
|
| [3] |
|
| [4] |
|
| [5] |
|
| [6] |
|
| [7] |
|
| [8] |
|
| [9] |
|
| [10] |
|
| [11] |
|
| [12] |
|
| [13] |
|
| [14] |
|
| [15] |
|
| [16] |
|
| [17] |
|
| [18] |
|
| [19] |
|
| [20] |
|
| [21] |
|
| [22] |
|
| [23] |
|
| [24] |
|
| [25] |
|
| [26] |
|
| [27] |
|
| [28] |
|
| [29] |
|
| [30] |
|
| [31] |
|

