联系人简介: 徐中轩, 男, 博士, 教授, 主要从事功能配合物研究. E-mail: xuzhongxuan4201@163.com
在溶剂热反应条件下, 使用含氮辅助配体1,4-二(4-吡啶基)苯(1,4-DPB)和半刚性脯氨酸衍生物配体( R)-5-(2-羧基吡咯烷-1-羰基)间苯二甲酸[( R)-H3PIA]或( S)-5-(2-羧基吡咯烷-1-羰基)间苯二甲酸[( S)-H3PIA]与Cd2+构筑了单一手性金属-有机框架材料[Cd1.5(( R)-PIA)(1,4-DPB)1.5]·0.75H2O· xGuest(1- D)和[Cd1.5(( S)-PIA)(1,4-DPB)1.5]·0.75 H2O· xGuest(1- L). 配合物1- D和1- L呈具有开放孔道的三维柱层式框架结构, 含有三核镉簇单元 Cd3(CO2)6与两种螺旋链构建的波浪形Cd-PIA层. 分别对上述化合物进行了粉末X射线衍射、 热重分析、 圆二色谱和荧光光谱等测试. 测试结果显示配合物1- D和1- L都是以纯晶体的形式存在, 2种配合物的热失重曲线接近, 圆二色谱有明显的正负吸收峰, 符合其对映体的结构特征.
With the help of nitrogen heterocycle auxiliary ligand 1,4-di(pyridin-4-yl)benzene)(1,4-DPB), a pair of homochiral metal-organic frameworks named [Cd1.5(( R)-PIA)(1,4-DPB)1.5]·0.75H2O· xGuest(1- D) and [Cd1.5(( S)-PIA)(1,4-DPB)1.5]·0.75 H2O· xGuest(1- L)[H3PIA=5-(2-carboxypyrrolidine-1-carbonyl)isophthalic acid] have been prepared from proline derivative ligands ( R)-H3PIA and ( S)-H3PIA and cadmium ions. Crystallographic analysis indicates that complexes 1- D and 1- L feature three-dimensional open pore structure, containing wavy metal-carboxylate layers and almost linear trinuclear cadmium cluster units. In complexes 1- D and 1- L, the wavy metal-carboxylate layers consists of two types of homochiral helical chains, which are constructed by PIA fragments and cadmium ions. Moreover, powder X-ray diffraction patterns(PXRD), thermogravimetric analysis(TGA), circular dichroism(CD) spectra, and photoluminescent spectra of complexes 1- D and 1- L were also investigated. The results show all the peak positions of simulated and experimental PXRD patterns match well with each other, indicating that the complexes were obtained as a single phase. Furthermore, TGA curves of complexes 1- D and 1- L are very similar to each other and their CD spectrum have obviously positive or negative signal, which accord with their enantiomeric properties.
单一手性的金属-有机框架(HMOFs)材料以其精致的结构和在手性分离、 不对称催化、 非线性光学等方面潜在的应用价值而一直备受关注[1~8]. 设计与合成HMOFs是化学和材料学领域的一个重要研究方向[9, 10, 11, 12].
在过去的十几年中, 手性配体、 手性拆分和手性诱导等构筑策略已经用于HMOFs的合成[13, 14, 15, 16, 17, 18, 19, 20, 21, 22, 23]. 其中以手性化合物为配体与金属离子构建HMOFs的方法是最直接和有效的, 选择合适的手性配体是构筑HMOFs材料的关键[24, 25]. 在众多手性化合物中, 氨基酸具有廉价、 易得和配位点丰富等优点, 是合成HMOFs的理想配体. 但氨基酸骨架柔性, 难以直接用于构建具有三维开放孔道结构的HMOFs, 需要进行结构修饰[26, 27, 28, 29, 30, 31]. 在前期工作中, 我们将脯氨酸和1, 3, 5-苯三酸组装在一起, 合成出一对带有脯氨酸和间苯二甲酸单元的手性配体(R)-H3PIA和(S)-H3PIA(图1)[32]. (R)-H3PIA和(S)-H3PIA骨架比较刚性, 且配位点丰富, 可单独或与辅助配体共同与金属离子构筑HMOFs[33, 34, 35].
| Fig.1 Structures of enantionpure ligands (R)-H3PIA and (S)-H3PIA and auxiliary N-donor linker 1, 4-DPB |
基于以上研究背景, 本文选用刚性的含氮化合物1, 4-二(4-吡啶基)苯(1, 4-DPB, 图1)为辅助配体, 在溶剂热条件下和(R)-H3PIA或(S)-H3PIA与Cd2+合成出了一对HMOFs, 即[Cd1.5((R)-PIA)(1, 4-DPB)1.5]· 0.75H2O· xGuest(1-D)和[Cd1.5((S)-PIA)(1, 4-DPB)1.5]· 0.75H2O· xGuest(1-L), 并对合成条件、 晶体结构、 热稳定性、 圆二色谱及荧光特征等进行了讨论.
手性配体(R)-H3PIA和(S)-H3PIA参照文献[31]方法合成. 硝酸镉、 1, 4-DPB、 N, N-二乙基甲酰胺(DEF)等为分析纯试剂, 购自上海安耐吉化学有限公司.
Rigaku four-circle 003 CCD型单晶X射线衍射仪(日本Rigaku公司); Rigaku Smartlab-9KW 型粉末X射线衍射仪(日本Rigaku公司); Netzsch sta 449F5 热失重分析仪(德国Netzsch公司 ); Agilent cary660型傅里叶变换红外光谱仪(澳大利亚Agilent公司); Hitachi FL-7000型荧光分析仪(日本Hitachi公司); Perhin-Elmer 240C型元素分析仪(美国Perkin-Elmer公司); MOS-450型圆二色光谱分析仪(法国Bio-Logic公司).
1.2.1 配合物1-D的合成 在(R)-H3PIA(0.031 g, 0.1 mmol), 1, 4-DPB(0.035 g, 0.15 mmol)和Cd(NO3)2.4H2O(0.047 g, 0.15 mmol)的混合物中加入DEF-C2H5OH-H2O(体积比为3∶ 1∶ 1)混合溶剂5 mL, 搅拌5 min后转移到体积为23 mL的聚四氟乙烯反应釜内胆中. 在100 ℃下反应3 d后得到无色块状晶体和悬浊液的混合物, 过滤后用无水乙醇洗涤晶体, 产率为30%. 元素分析实测值(%, C38H28Cd1.5N4O7.75计算值): C 50.34(54.77), H 2.64(3.39), N 7.01(6.72). IR,
1.2.2 配合物1-L的合成 与配合物1-D合成条件相似, 只是用(S)-H3PIA取代(R)-H3PIA, 产物为无色块状晶体. 元素分析实测值(%, C38H28Cd1.5N4O7.75计算值): C 49.65(54.77), H 2.92(3.39), N 7.45(6.72). IR,
配合物1-D和1-L的单晶数据于室温下在Rigaku four-circle 003 CCD型单晶衍射仪上以Mo Kα 射线(λ =0.071073 nm)为辐射源收集. 所有数据用Rigaku OD 2015软件进行还原, 通过多重扫描法进行经验吸收校正. 利用Olex2-1.2和Shelxtl-2017软件包, 采用直接法对配合物进行结构解析并产生CIF文件[36, 37]. 对配合物中全部非氢原子坐标及热参数进行了全矩阵最小二乘法修正. 配合物1-D和1-L的晶体学数据见表1.
| Table 1 Crystallographic parameters of complexes 1-D and 1-L |
X射线单晶结构解析表明, 配合物1-D和1-L均为正交晶系, P21212空间群, 对应的Flack值分别为-0.010(14)和-0.020(8)(表1). Flack值接近于零, 说明配合物的晶体手性纯度较高, 为单一手性化合物. 配合物1-D和1-L的每个不对称单元是由1.5个独立的Cd2+、 1个脱质子的PIA3-配体、 1.5个1, 4-DPB配体和0.75个水分子组成, 此外还有一些客体分子由于结构无序无法进一步指认, 采用SQUEEZE的方法将它们从衍射数据中予以去除[38].
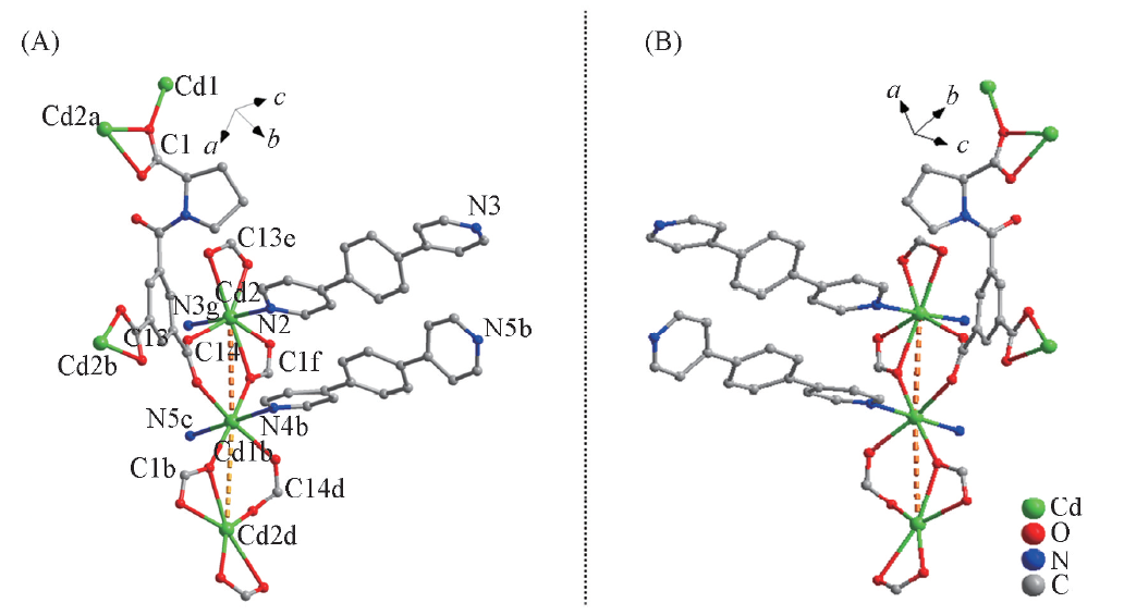
配合物1-D和1-L互为对映体, 以配合物1-D为例描述它们的结构特征. 在配合物1-D中, 每个(R)-PIA3-配体充当k6-连接体与6个Cd2+连在一起(图2). 通过(R)-PIA3-与Cd2+的这种特殊配位模式, 在配合物1-D中形成了一个几乎直线的三核镉镞单元Cd3(CO2)6. 每1个镉镞单元连接6个(R)-PIA3-配体和2个1, 4-DPB配体. 在Cd3(CO2)6单元中, Cd1呈八面体构型, 与4个来自羧基的氧原子和2个来自吡啶基的氮原子配位. 不同于Cd1的六配位模式, Cd2与5个来自于羧基的氧原子和2个来自于吡啶基的氮原子配位, 形成七配位五角双锥构型.
配合物1-D和1-L最突出的结构特征是存在2种不同类型的螺旋链(图3). 如图3(A)所示, 在配合物1-D中, (R)-PIA3-配体中的间苯二甲酸单元将Cd1和Cd2连接在一起, 沿着a轴方向形成一个无限延长的单股左手螺旋链. 为了便于描述, 称之为a螺旋链. 在配合物1-L中, (S)-PIA3-配体的间苯二甲酸单元与Cd1以及Cd2同样构建出了一个a螺旋链, 但其旋转方向与配合物1-D中的a螺旋链相反, 是右手螺旋[图3(B)]. 配合物1-D和1-L中的a螺旋链每一轮由2个间苯二甲酸单元、 2个Cd1和2个Cd2组成. 除间苯二甲酸单元外, PIA3-配体中的脯氨酸单元也参与了螺旋链构建. 如图3(C)所示, 在配合物1-D中, 脯氨酸单元、 半个间苯二甲酸单元、 Cd1、 Cd2沿着b轴方向也构建出无限延长的右手螺旋链, 称之为b螺旋链. 而在配合物1-L中, 也存在一个b螺旋链, 只是构型相反, 为左手螺旋.
按照1∶ 1的比例, 上述2种螺旋链连接在一起形成了波浪形的Cd-PIA层[图3(E)和(F)]. 在Cd-PIA层中, PIA3-配体和Cd3(CO2)6单元分别充当3, 6节点, 形成kgd型的网络结构. Cd-(R)-PIA层进一步通过1, 4-DPB配体连接在一起, 形成三维柱-层式框架[图4(A)和(B)]. 在柱-层式框架中, (R)-PIA3-配体充当三连接的节点, 线形的Cd3(CO2)6镉镞单元为八连接的节点, 1, 4-DPB配体是简单连接体. 整个框架从拓扑的角度看是一个顶点符号为(43)2(46· 618· 84)的tfz-d网络[图4(C)][39].
为了验证所合成化合物的相纯度, 对配合物1-D和1-L分别进行了粉末X射线衍射(PXRD)测试. 如图5(A)所示, 配合物1-D和1-L的PXRD谱图与根据其单晶结构模拟得到的PXRD谱线吻合得很好, 说明所合成的配合物都是以晶态形式存在的. 配合物1-D和1-L的TGA曲线如图5(B)所示. 配合物1-D和1-L的TGA曲线非常相似, 这符合它们互为对映体的特征. TGA曲线在25110 ℃之间有1个明显的失重过程, 这是由框架中部分低沸点的溶剂分子的失去所致. 随着温度的进一步升高, 更多的溶剂分子失去, 同时框架变得不稳定. 当升温到350 ℃时, 框架急剧坍塌, 配体发生分解, 最后的残留物是金属氧化物和配体的部分碳化物.
为了进一步证实配合物1-D和1-L的对映体特征, 利用KCl压片法, 在波长200600 nm范围内进行了固态圆二色谱(CD)测试. 如图6所示, 配合物1-D和1-L在304 nm处分别有1个较强的正的和负的CD信号, 证实配合物1-D和1-L是一对对映体. 对映的手性配体与金属离子构筑金属-有机框架材料的时候, 配体的手性被移植到框架上, 所得化合物仍然是一对对映体.
配合物的紫外-可见吸收光谱如图7所示. 配合物1-L在紫外区有明显的吸收峰: 在235 nm处有1个强的吸收峰, 在280和360 nm处有2个较弱的吸收峰. 这些特征吸收峰是由配体或配体与金属离子之间的π -π * 电子转移导致的[40].
图8是配合物1-L和配体(S)-H3PIA的固态荧光发射谱. 配合物1-L在波长为330 nm的激发光作用下, 在410 nm处有强发射峰; 而配体(S)-H3PIA在387 nm的激发光作用下, 其发射光谱在481 nm处有强发射峰. 与配体(S)-H3PIA的发射光谱相比, 配合物的发射光谱发生了明显的蓝移. Cd(Ⅱ )离子具有d10电子轨道构型, 自身非常稳定, 既难以被氧化又难以被还原, 所以配合物1-L的发射光谱应由配体(S)-PIA3-与金属Cd2+之间的n-π * 或π -π * 跃迁所致[41].
利用半刚性的脯氨酸衍生物配体(R)-H3PIA和(S)-H3PIA分别与辅助配体1, 4-DPB和Cd构筑出一对三维的HMOFs. 在这对HMOFs中, 通过手性配体特别的配位方式形成了三核镉簇单元, 镉簇单元进一步和PIA3-配体构建出包含两种螺旋链的波浪形Cd-PIA层. 辅助配体充当柱子将波浪形Cd-PIA层连接成了三维框架结构. 晶体结构和圆二色谱分析进一步证明通过天然对映体化合物改性得到手性配体是制备HMOFs材料的有效途径.
| [1] |
|
| [2] |
|
| [3] |
|
| [4] |
|
| [5] |
|
| [6] |
|
| [7] |
|
| [8] |
|
| [9] |
|
| [10] |
|
| [11] |
|
| [12] |
|
| [13] |
|
| [14] |
|
| [15] |
|
| [16] |
|
| [17] |
|
| [18] |
|
| [19] |
|
| [20] |
|
| [21] |
|
| [22] |
|
| [23] |
|
| [24] |
|
| [25] |
|
| [26] |
|
| [27] |
|
| [28] |
|
| [29] |
|
| [30] |
|
| [31] |
|
| [32] |
|
| [33] |
|
| [34] |
|
| [35] |
|
| [36] |
|
| [37] |
|
| [38] |
|
| [39] |
|
| [40] |
|
| [41] |
|

