联系人简介: 蔡小霞, 女, 博士, 副教授, 主要从事功能高分子材料及复合材料方面的研究. E-mail: cxx@qlu.edu.cn
通过生物基原料氢化香豆素(DHC), 在铬(Ⅲ)络合物和氯化铵复合物协同催化作用下, 与环氧醚类物质交替共聚, 获得一类三维网状聚合物, 进而与环氧树脂(EP)单体在固化过程中构建双网络结构, 实现有效的应力传递和外部能量吸收, 达到对环氧树脂增韧增强的效果. 凝胶渗透色谱结果表明, DHC基网络(DHC-net)分子量随反应时间延长而增加.1H NMR证实了合成的DHC-net分子结构. 同时, 考察了环氧树脂的热力学及力学性能, 发现DHC-net与环氧树脂基体具有良好的相容性; 改性后的环氧树脂断裂伸长率比纯环氧树脂有大幅提高; 拉伸与冲击测试显示, DHC-net含量小于30%时, 改性后环氧树脂的拉伸强度和抗冲击强度均比纯环氧树脂有大幅提高.
A kind of 3D polymeric network, obtained through alternating copolymerization of dihydrocoumarin(DHC) and epoxides with the aid of chromium(Ⅲ) complexes and bis(triphenylphosp-hosphoranylidene) ammonium chloride(PPNCl) catalysts, was introduced into the diglycidyl ether of bisphenol A(DGEBA) matrix to build a double network structure. This structure can achieve an effective stress transfer and energy absorption for the DGEBA toughness. The gel permeation chromatography(GPC) results showed that the molecular weight of DHC-net increased with the react time. DHC-based network(DHC-net) structure was confirmed via the1H NMR spectrum. Moreover, the chemical structures of epoxy resin(EP), DHC-net and EP/DHC-net double networks were confirmed via the FTIR spectra. DMA, DSC and TGA tests indicated that a good compability between the DHC-based network and the DGEBA matrix. Mechanical test showed that an obvious increase in the elongation at break was achieved after the DHC-based network was introduced into the DGEBA matrix. Furthermore, compared to the neat DGEGA resin, remarkable improvements in tensile and impact strength were found after the introduction of DHC-based network with content no higher than 30%(mass fraction) into the DGEBA matrix.
环氧树脂属于热固性高分子材料, 具有优异的化学稳定性、 耐热性、 电气绝缘性和黏结性能, 以及高机械强度、 低收缩性和良好的加工工艺性能[1, 2], 从而被广泛应用于材料黏接、 涂料防腐、 电气绝缘等电子、 航天和机械制造等领域[3, 4, 5]. 然而作为一种传统的热固性材料, 环氧树脂仍然存在脆性大及耐冲击性能差等缺点, 在很大程度上限制了其应用[6]. 因此对环氧树脂的增韧成为改性研究的焦点, 并进行了大量的研究[7, 8, 9, 10]. 目前环氧树脂增韧方法可以归类为以下几种: (1) 通过橡胶弹性体[11]、 热塑性树脂[6, 12]或刚性颗粒、 纳米粒子[13, 14]等第二相来实现增韧改性[6, 15]; (2) 通过热塑性树脂连续贯穿于热固性树脂中形成互穿网络(IPN)[16]来增韧改性; (3) 通过改变交联网络的化学结构(如在交联网络加入柔性段)以提高网络分子的活动能力[17, 18]; (4) 通过调控分子交联状态形成易于塑性变形的结构来提高韧性[19].
近年来, 在能源消耗及环境污染加剧的背景下, 利用可持续生物基原料增韧环氧树脂的“ 绿色途径” 成为一个新兴方向[20, 21, 22, 23, 24, 25]. 包括将植物油及其衍生物[26]、 生物基共聚物[27]、 腰果酚[28, 29]、 木质素及单宁酸[30]等生物质组分引入环氧树脂体系中[31]. Fei等[30]将十二烷官能化的单宁酸(TA-DD)加入环氧树脂体系, 当TA-DD质量分数为0.5%时, 其冲击强度提高了2倍. Wang等[22]通过脱氯化氢、 环氧化反应和腰果酚开环反应, 合成了一种生物基阻燃增韧剂磷酸三菲基酯(PTCP), 当PTCP质量分数为20%时, 拉伸强度提高1.5倍, 断裂伸长率提高至9.1%. 但这种“ 绿色途径” 在提高环氧树脂抗冲击强度的同时往往会损耗其模量和拉伸强度[32]. 为了使环氧树脂能同步提高抗冲击强度和拉伸强度, 我们设计了一种双网络结构进行增韧[33], 这种结构可以实现环氧相和增韧相之间的良好相容, 提高材料的协同效应, 在外力作用下发生网络形变, 以吸收外界能量加大应力传递, 起到对环氧树脂有效增韧增强作用.
本文通过氢化香豆素(DHC)与聚乙二醇二缩水甘油醚(PEGDE)在催化剂作用下交替共聚, 制备了基于DHC的第一网络[34], 使用商业环氧树脂双酚A二缩水甘油醚(DGEBA)经固化交联形成第二网络, 然后将基于DHC的网络引入相对刚性的DGEBA网络中来构建双网络结构.
双酚A型环氧树脂(DGEBA, 环氧当量: 172~176 g/mol, 摩尔质量340.41)和(1R, 2R)-(-)-[1, 2-环己二氨-N, N'-双(3, 5-二叔丁基水杨基)]氯化铬(Ⅲ )均购于美国西格玛奥德里奇公司. 氢化香豆素(DHC, 摩尔质量148.16, 纯度99%)和聚乙二醇二缩水甘油醚[PEGDE, 平均分子量(Mn)为500]均购于上海麦克林生化科技有限公司. 双(三苯基正磷基)氯化铵(PPNCL)购于萨恩化学技术(上海)有限公司. 以上试剂均为分析纯.
Heleos-Ⅱ 型凝胶渗透色谱仪(GPC, 美国怀雅特公司); DMA Q800型动态热机械分析仪(New Castle, DE); DSC Q2000型差示扫描分析仪(美国TA Instruments公司); Nicolet iS10傅里叶变换红外光谱仪(美国Thermo Corporation公司); Avance Ⅱ 400 MHz核磁共振波谱仪(德国Bruker公司); TGA-1型热重分析仪(瑞士METTLER公司).
将DHC、 PEGDE、 铬(Ⅲ )络合物和氯化铵复合物(PPNCL)以摩尔比1.1∶ 0.5∶ 0.004∶ 0.004(剩余开环的DHC可继续与纯环氧树脂中环氧基反应)加入烧杯中, 在80 ℃烘箱中反应约56 h得到聚合物, 命名为DHC网络(DHC-net).
将制备的生物基DHC-net分别以不同比例(质量分数10%, 20%, 30%, 40%)加入到环氧树脂体系中(双酚A环氧树脂、 双氰胺和促进剂质量比为100∶ 2.5∶ 1.5). 将混合好的双网络体系在80 ℃下加热搅拌0.5 h, 混合均匀后, 通过聚四氟乙烯模具涂膜成片状, 放入100 ℃烘箱中预固化(因质量分数不同, 加热时间相应为1.53 h), 升温到120 ℃保持2 h, 然后在150 ℃下完全固化5 h得到固化产物, 命名为EP/DHC-net. 作为对比, 单网络双酚A环氧树脂在相同条件下固化, 命名为纯EP. 为了进一步阐明DHC-net中DHC的作用, 制备了相同固化条件下, 单纯由PEGDE按不同比例(10%, 20%, 30%, 40%)与环氧树脂DGEBA混合的EP/PEGDE固化产物.
参照文献[35]方法, 氢化香豆素DHC在催化条件下实现与环氧化物的交替共聚. 在此过程中, 铬(Ⅲ )络合物用来活化环氧化物的开环, 氯化铵复合物中的[PPN]+作为反离子可以形成铬(Ⅲ )醇盐, 所以PEGDE中的环氧基团与DHC可以发生交替共聚反应, 同时PEGDE中的2个环氧基团可以用来构建1个交联网络. 聚乙二醇二缩水甘油醚与氢化香豆素的反应机理及生物基网络的增长过程见Scheme 1.
DHC-net的分子量变化可以通过GPC观察. 将DHC-net在80 ℃的烘箱中分别反应1, 3 和6 h结果示于表1. 从表1可以看到各反应时间下的数均分子量(Mn)、 重均分子量(Mw)、 最高位峰分子量(Mp)和Z均分子量(Mz), 反应时间为1 h的分子量小于反应时间为3 h的分子量, 而6 h后的产物却无GPC分子量显示. 说明反应前期, 聚合物链快速增长, 分子量增加迅速; 反应3 h后分子量增长放缓; 反应达6 h后, 生物基网络已显著固化交联, 已经无法有效溶解进行GPC分子量测试.
| Table 1 Molecular weights and distributions of DHC-net with different polymerization reaction time |
核磁共振谱图(图1)展示了生物基DHC-net的结构特征. 可以看出, 在δ 7.25~6.70范围内的化学位移归属于DHC中芳香环上的氢. δ 3.63处对应的化学位移来自于PEGDE中的甲氧基(— CH2— O— )重复结构单元中的氢. 因这类重复单元在体系中大量存在, 使相应的吸收峰出现了很强的信号. δ 2.42~3.00归属于氢化香豆素中的亚甲基上的氢. δ 4.00处的吸收峰来自于PEGDE中环氧基上的氢. 因此通过图谱分析可以得出DHC和PEGDE在催化剂的作用下开环加成形成聚合物.
环氧树脂网络使用的是双酚A型环氧树脂(DGEBA), 其环氧基可以与固化剂双氰胺(DICY)中的氢发生开环加成反应, 分子链不断增长交联成网. 将部分交联的生物基DHC-net体系加入到环氧树脂网络体系构建双网络结构来实现对环氧树脂的增韧. 双网络交叉无规则分布, 由于生物基网络仍有剩余未完全反应开环的DHC, 可以继续与环氧树脂中的环氧基反应形成共价键, 从而加大应力传递效率, 实现外界冲击在生物基网络中的耗散, 达到增韧效果. Scheme 2为2种网络结构的形成及反应机理.
FTIR光谱证实了纯EP(未固化)、 DHC-net及EP/DHC-net双网络固化后的化学结构. 从图2可以看出, 这3条谱线的吸收峰很相似, C— H伸缩振动的特征峰在3000~2850 cm-1处, 1300~1000 cm-1处的特征吸收峰属于醚(C— O— C)的伸缩振动, 芳香族醚的吸收峰分别出现在1270~1230和1050~1000 cm-1处. 但三者又有明显不同: 与纯环氧树脂相比, DHC-net中的脂肪族醚1150~1060 cm-1处有较强的吸收峰, 环氧树脂则不存在此吸收峰; 而在EP/DHC-net中可以明显地看到1个出现在1720 cm-1处的羰基(C=O)吸收峰, 这是由生物基DHC-net中羰基(C=O)所引起的. 因此可以证实生物基网络体系已引入到环氧树脂体系中.
对DHC-net加入到环氧树脂体系的固化行为进行了研究. 图3(A)显示了纯环氧树脂及质量分数为10%和40%的DHC-net环氧树脂固化放热曲线. 表2列出了固化时的初始温度(Ti)和峰值温度(Tp). 可以看出, 固化峰值温度并没有因DHC-net的引入而发生显著改变, 但固化初始温度却随DHC-net含量的增加而明显降低. 通过转化率曲线[图3(B)]也可以明确看到, 随着DHC-net的引入及比例增加, 初期的转化率得到显著提升. 这意味着DHC-net的引入, 对整个网络体系初期的固化反应起到促进作用. 从图3(B)中还可看到, 随固化反应的进行, DHC-net体系的固化速率开始低于纯环氧树脂. 这可归因于DHC-net的引入在一定程度上减缓了环氧单体间的反应, 这也可以从图3(A)中放热曲线变钝的峰形体现出来.
| Fig.3 DSC thermograms of EP and EP/DHC-net(A) and conversion against temperature of the curing of EP and EP/DHC-net(B) a. EP; b. EP/10%DHC-net; c. EP/40%DHC-net. |
| Table 2 DSC results of the neat epoxy and DHC-net modified epoxy resins |
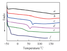
纯EP, DHC-net和EP/DHC-net的DSC曲线如图4所示. 每个样品都呈现单一而显著的玻璃化转变区域, 意味着环氧树脂基体与生物基网络的良好相容性. 纯环氧树脂的玻璃化转变温度(Tg)在150 ℃附近, 纯DHC-net的Tg在-30 ℃左右, 随着DHC-net的含量逐渐增加, EP/DHC-net的玻璃化转变温度逐渐降低, 这种玻璃化转变温度的降低从分子结构上归因于DHC-net网络中较多的柔性醚基、 酯基和脂肪链烃. 相比DGEBA中的刚性苯环, 这类柔性基团的含量增加必然会引起整个体系的玻璃化转变温度降低.
| Fig.4 DSC curves of the EP, DHC-net and EP/DHC-net a. EP; b. EP/10%DHC-net; c. EP/20%DHC-net; d. EP/30%DHC-net; e. EP/40%DHC-net; f. DHC-net. |
通过对纯EP和EP/DHC-net的动态力学行为测试, 可进一步理解增韧增强机理. 图5(A)为tanδ 与温度的关系, tanδ 定义为损耗模量与储能模量之比, tanδ 对应的温度曲线峰值可作为Tg. 可以看出, 纯环氧树脂的Tg约为180 ℃, 随着生物基网络含量逐渐增多, 改性环氧树脂的Tg逐渐下降, EP/40%DHC-net的Tg为63 ℃. 可以注意到, 所有样品均呈现单一损耗峰, 表明EP网络与DHC-net网络之间具有良好的相容性. 对于二元相容的共混物, 可以通过Fox方程和Gorden-Taylor方程预测玻璃化转变温度, Fox方程和Gorden-Taylor方程分别为
式中: Tg为共混物的玻璃化转变温度; wi为组分i的质量分数. 2个分量的相互作用可以通过k值反映出来. k> 1表明与单一组分的自相互作用相比, 2种组分间的相互作用更强; 反之, k< 1表明与单一组分的自相互作用相比, 2组分间的相互作用较弱. 图5(B)红圆圈是由DMA测得的实际Tg, 黑点是由Fox方程计算得出的Tg值, 红色虚线为拟合的Gorden-Taylor非线性方程. 可以看出, 由DMA测出的Tg要比由Fox方程计算得出的Tg值小, 经计算得出各组分的k值均大于1, 说明DGEBA网络与DHC-net网络之间的相互作用强于单组分的自相互作用, 意味着2个网络之间存在特定的相互作用力.
对改性后的环氧树脂进行了拉伸与冲击测试评价. 图6(A)为纯EP与不同含量EP/DHC-net的抗冲击强度, 纯EP的抗冲击强度只有19.3 kJ/m2, 随着DHC-net含量的增加, EP/DHC-net的抗冲击强度逐渐增大, 在DHC-net含量为30%时有最大的抗冲击强度37.2 kJ/m2, 约为纯EP的2倍. 图6(B)为纯EP与不同含量EP/DHC-net的拉伸强度和断裂伸长率. 可以看出, DHC-net含量少于30%时, 拉伸强度逐渐增大, 断裂伸长率也一直增大. 说明当DHC-net含量小于30%时, DHC-net对环氧树脂有明显地增韧增强作用. 因为当生物基网络无规则地杂合到环氧树脂网络中, 显著改变了环氧树脂固有的网络结构. 这种结构不仅可以提高材料的协同效应, 而且在外力作用下网络可发生大变形, 吸收外界能量加大应力传递, 对环氧树脂起到明显的增韧增强效果.
为了进一步明确增韧来自于DHC-net, 还是仅仅靠PEGDE来实现, 我们将PEGDE单独加入环氧树脂考察仅由PEGDE引入对环氧树脂性能的影响. 从图7(A)可以看出, 当PEGDE的含量逐渐增加时, 抗冲击强度逐渐减小, 其对应值远小于用DHC-net改性的环氧树脂. 图7(B)也可以看出, 当PEGDE含量升至30%和40%时, 拉伸强度急剧减小, 断裂伸长率显著增大. 显然, 仅通过PEGDE无法实现对环氧树脂的有效增韧增强. 这是因为PEGDE内大量柔性的醚键脂肪烃长链, 无法产生苯环的刚性补强效果. 随着PEGDE的增加, 只会进一步加强对环氧树脂的塑化作用, 而不是增韧增强. 显然, 生物基氢化香豆素DHC在环氧树脂增韧增强的过程中, 起到了至关重要的作用. 通过DHC中刚性苯环与PEGDE中柔性醚链的组合, 刚柔并济的DHC-net可以实现对环氧树脂的有效增韧增强.
| Fig.7 Impact(A) and tensile(B) properties of EP and EP/PEGDE Inset of (B) shows elongation of EP and EP/PEGDE. |
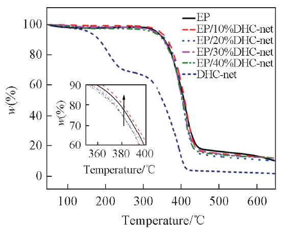
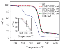
图8为固化后的纯EP, DHC-net和EP/DHC-net的热降解曲线. 可以看出, 纯环氧树脂和生物基改性环氧树脂只有1个降解曲线(320~430 ℃附近), 而且热分解曲线相似. 说明环氧树脂基体网络与生物基DHC-net网络形成了均匀的整体, 实现了良好的相容效果. 相比纯环氧树脂和生物基改性环氧树脂, DHC-net的热分解曲线呈现2个降解平台, 第一阶段出现在150~250 ℃, 应该是有醚基和脂肪族链聚乙二醇二缩水甘油醚的分解, 第二阶段出现在300~420 ℃, 为芳香族结构二氢香豆素的分解.
纯EP和EP/DHC-net的断裂及增韧机理可根据SEM观察到的树脂断口形貌推断. 图9为纯EP和EP/DHC-net冲击断裂表面的SEM照片. 从图9(A)可看出, 纯EP的冲击断面非常平整光滑, 裂纹方向单一, 且呈直线扩展, 说明裂纹在扩展过程中并没有受到阻碍, 未出现应力分散现象, 呈现明显的脆性断裂特征. 而从图9(B)则明显看出, 含量为20%的DHC-net改性环氧树脂断裂表面粗糙, 裂纹交叉分支较密集, 呈现出阶梯形状, 应力分散程度高, 对力的吸收更大, 出现明显的韧性断裂特征. 可以推断, 改性后环氧树脂受到冲击外力时形成了微裂纹和剪切带, 吸收了大量的冲击能量, 阻止了裂纹的进一步扩展, 从而起到了增韧的作用.
报道了一种通过生物基原料合成网络结构来增韧环氧树脂的方法. 氢化香豆素(DHC)在铬(Ⅲ )络合物和氯化铵复合物的催化作用下开环与环氧基交联聚合形成网络结构, 并将其加入到脆性的环氧树脂网络基体中, 通过生物基网络应力的传递和对外界冲击的吸收, 显著提高环氧树脂的韧性和强度. EP/DHC-net体系具有单一玻璃化转变温度, 说明二者具有很好的相容性. 改性后的环氧树脂在一定范围内随DHC-net含量增加, 抗冲击强度和拉伸强度均逐渐增大, 当DHC-net含量为30%时, 其最大的抗冲击强度比纯EP增大约1倍. 力学性能测试表明, 对环氧树脂的增韧增强来自DHC-net, 而不是PEGDE. 对于材料的增韧增强, 本文制备的这种网络结构不仅适用于环氧树脂, 对其它脆性聚合物也具有潜在的研究价值和应用意义.
| [1] |
|
| [2] |
|
| [3] |
|
| [4] |
|
| [5] |
|
| [6] |
|
| [7] |
|
| [8] |
|
| [9] |
|
| [10] |
|
| [11] |
|
| [12] |
|
| [13] |
|
| [14] |
|
| [15] |
|
| [16] |
|
| [17] |
|
| [18] |
|
| [19] |
|
| [20] |
|
| [21] |
|
| [22] |
|
| [23] |
|
| [24] |
|
| [25] |
|
| [26] |
|
| [27] |
|
| [28] |
|
| [29] |
|
| [30] |
|
| [31] |
|
| [32] |
|
| [33] |
|
| [34] |
|
| [35] |
|

