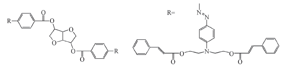
自组装光致形变功能偶氮分子玻璃微球
唐波, 黄浩, 吴兵, 李旭, 王晓工
Self-assembled Azo Molecular Glass Microspheres with Rapid Photoinduced Deformation
†
TANG Bo, HUANG Hao, WU Bing, LI Xu, WANG Xiaogong
*